诚信 品质 服务满意!

成立于2007年 ,为中小微企业提供工商注册、代理记账、全国各地进出口及资质办理

15062429200/15062429300(微信)

保障
账务无忧
资深会计团队多对一服务更高标准,告别糊涂账,应付税务稽查安枕无忧省事、安心。



 
预警
风险提示
账务规范、对账数据发现风险第一时间预警,并提供相关财税建议省事、安心。
 
透明
无隐形收费
服务价格透明、明码标价,拒绝隐形的附加收费省钱又放心。
 
 

【事项名称】
纳税服务投诉处理

【基本编码】
002030050000

【事项类型】
公共服务

【设定依据】
《国家税务总局关于修订〈纳税服务投诉管理办法〉的公告》(国家税务总局公告2019年第27号)

【行使层级】
国家级^省级^市级^县级

【实施编码】
11100000000014445H7002030050000

【事项状态】
在用

【事项版本】
2020年1月版本

【实施主体】
国家税务总局^国家税务总局**省税务局^国家税务总局**市税务局^国家税务总局**县税务局

【实施主体性质】
法定机关

【实施主体编码】
11100000000014445H

【受理条件】
纳税人认为税务机关及其工作人员在履行纳税服务职责过程中未提供规范、文明的纳税服务或者有其他侵犯其合法权益的情形,向税务机关进行投诉,税务机关进行受理、调查、处理和结果反馈。

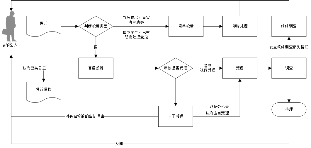
【办理流程】

 纳税服务投诉处理

【办理材料】

序号

材料名称

材料填写样本

来源

渠道

数量

必要性

材料类型

备注

1

被投诉单位名称或者被投诉个人的相关信息及其所属单位

自备

1份

1 必要

原件

纸质/电子

纳税人通过口头或书面形式提供

2

投诉请求、主要事实、理由

自备

1份

1 必要

原件

纸质/电子

3

投诉人的姓名(名称)、有效联系方式

自备

1份

2 非必要

原件

纸质/电子

实名投诉纳税人提供

 

【是否收费】

【服务对象】
^1 自然人 ^2 企业法人 ^3 事业法人 ^4 社会组织法人 ^5 非法人企业 ^6 行政机关 ^9 其他组织

【到办事现场次数】
无需现场办理

【特别程序】

【移动端是否对接单点登录】

【计算机端是否对接单点登录】

【办理地点】
1.国家级:可通过12366纳税服务热线、国家税务总局官方网站(http://www.chinatax.gov.cn/)、12366纳税服务平台(https://12366.chinatax.gov.cn)、信函(北京市海淀区羊坊店西路5号国家税务总局)等渠道办理。
2.其他:可通过办税服务厅(场所)、12366纳税服务热线、税务官方网站、信函等渠道办理,具体地点和网址可从省(自治区、直辖市和计划单列市)税务局网站“纳税服务”栏目查询。

【办理时间】
1.国家级:工作日 上午8:00-12:00,下午13:00-17:00
2.其他:可从省(自治区、直辖市和计划单列市)税务局网站“纳税服务”栏目查询。

【办理机构】
1.国家级:国家税务总局纳税服务司
2.其他:各级纳税服务主管部门

【咨询方式】
1.12366纳税服务热线
2.可通过各级税务机关对外服务渠道获取网络咨询,如门户网站、微信、微博等。

【监督投诉方式】
12366

【是否进驻政务大厅】

【办理结果类型】

【是否支持网上支付】

【是否支持物流快递】

【是否网办】

【常见问题】
1.纳税人是否可以就具体行政行为进行投诉?
答:纳税人已就具体行政行为申请税务行政复议或者提起税务行政诉讼,但具体行政行为存在不符合文明规范言行问题的,可就该问题单独向税务机关进行投诉。
2.纳税人是否需对其纳税服务投诉行为承担法律责任?
答:纳税人进行纳税服务投诉需遵从税收法律、法规、规章、规范性文件,并客观、真实地反映相关情况,不得隐瞒、捏造、歪曲事实,不得侵害他人合法权益。
投诉人捏造事实、恶意投诉,或者干扰和影响正常工作秩序,对税务机关、税务人员造成负面影响的,投诉人应依法承担相应责任。

出口退税

出口退税是指在国际贸易业务中,对我国报关出口的货物退还在国内各生产环节和流转环节按税法规定缴纳的增值税和消费税,即出口环节免税且退还以前纳税环节的已纳税款。
一般分为两种: 一是退还进口税,即出口产品企业用进口原料或半成品,加工制成产品出口时,退还其已纳的进口税;二是退还已纳的国内税款,即企业在商品报关出口时,退还其生产该商品已纳的国内税金。
七海财税2007来成立以来一直为广大出口企业提供更优质的财税服务,顺应广大出口企业的迫切需要。

精通各行业

苏州七海财税事务有限公司2007年创立,2010年1月设立相城分公司,2012年7月设立吴中分公司,服务网络辐射苏州市各区,为一站式专业财税服务平台。
整合了创业服务、代理记账、财税咨询、税收筹划、财务外包、融资财税、上市咨询等一站式财税服务,成功服务于信息技术、电子商务、生物医药、文化创意、金融、能源、制造、化工、航空、房地产等行业客户。

七海财税优势

经验—拥有多个行业、多类项目的专业服务与实践经验,植根本土,谙熟国情。
专业—综合财税服务的整合服务商,业务范围涵盖财务、税务、会计、工商、进出口等多个领域。
技术—自主核心技术研发,独立多平台运营。
资源—丰富的工商财税资源、优秀的税企协调能力。

联系七海

15062429200(微信号)/15062429300(微信号)/0512-69391261

如有工商、财税、商标、进出口问题可以用微信或是电话找到相应人员处理


姑苏分公司:姑苏区西环路1638号国际经贸大厦1505室((地铁站:西环路)

相城分公司:相城区相城大道789号8034室(苏宁电器北面凯翔大厦1号楼)

吴中分公司:吴中区苏蠡路90号旺吴金座611室(地铁站:新家桥)

在线客服QQ        在线客服QQ

点击发送短信给七海 快速创业免费核名

苏ICP备11005419号 HTML XML

扫码联系

mmqrcode1415778109237mmqrcode1415778982375

qrcode 1415936764404qrcode 1415937795428