商务部公告2020年第48号
关于对原产于美国、韩国和欧盟的进口三元乙丙橡胶反倾销调查初步裁定的公告
根据《中华人民共和国反倾销条例》(以下称《反倾销条例》)的规定,2019年6月19日,商务部(以下称调查机关)发布2019年第29号公告,决定对原产于美国、韩国和欧盟的进口三元乙丙橡胶(以下称被调查产品)进行反倾销立案调查。
调查机关对被调查产品是否存在倾销和倾销幅度、被调查产品是否对国内三元乙丙橡胶产业造成损害及损害程度以及倾销与损害之间的因果关系进行了调查。根据调查结果和《反倾销条例》第二十四条的规定,调查机关作出初步裁定(见附件)。现就有关事项公告如下:
一、初步裁定
调查机关初步认定,原产于美国、韩国和欧盟的进口三元乙丙橡胶存在倾销,国内三元乙丙橡胶产业受到实质损害,而且倾销与实质损害之间存在因果关系。
二、征收保证金
根据《反倾销条例》第二十八条和第二十九条的规定,调查机关决定采用保证金形式实施临时反倾销措施。自2020年10月28日起,进口经营者在进口被调查产品时,应依据本初裁决定所确定的各公司的保证金比率向中华人民共和国海关提供相应的保证金。
被调查产品的具体描述如下:
调查范围:原产于美国、韩国和欧盟的进口三元乙丙橡胶。
被调查产品名称:三元乙丙橡胶。
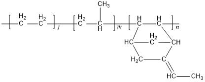
英文名称:Ethylene-Propylene-non-conjugated Diene Rubber或Ethylene Propylene Diene Monomer(EPDM)
化学结构式:

物理化学特性:三元乙丙橡胶是乙烯、丙烯以及非共轭二烯烃的三元共聚物,常温下外观为白色或者微黄色固体,易于混合。三元乙丙橡胶的物理性能、化学特征和加工性能主要因聚合体的分子结构不同而异,而与分子结构相关的因素有第三单体种类、门尼粘度和充油含量等各种要素。三元乙丙橡胶具有较好的耐老化性、耐化学品性、耐低温性及介电性能。
主要用途:三元乙丙橡胶用途比较广泛,可用于建筑、电线电缆、汽车工业、交通等领域。建筑方面,主要用于屋顶单层防水卷材等;电线电缆方面,主要用于民用和商用建筑的电力输入线、建筑机械用电缆、矿用电缆、核电站用电缆、汽车点火线、控制及信号电缆等;汽车工业方面,主要用于汽车、卡车和公共汽车非轮胎部件,包括汽车的水箱及耐热胶管、密封条、橡胶带、车身及底盘的部件、挡雨条、底板和环管等;交通方面主要应用于车辆车门窗密封条、减震、止水带等。
该产品归在《中华人民共和国进出口税则》:40027010和40027090。
对各公司征收的保证金比率如下:
美国公司
1.陶氏化学公司 222.0%
(The Dow Chemical Company)
2.埃克森美孚公司 214.9%
(Exxon Mobil Corporation)
3.阿朗新科美国有限公司 219.8%
(ARLANXEO USA LLC)
4.美国狮子弹性体有限公司 219.8%
(Lion Copolymer Geismar,LLC)
5.其他美国公司 222.0%
(All Others)
韩国公司
1.锦湖POLYCHEM株式会社 12.5%
(KUMHO POLYCHEM Co.,Ltd.)
2.乐天玮萨黎司弹性体有限公司 21.1%
(Lotte Versalis Elastomers Co.,Ltd.)
3.其他韩国公司 24.5%
(All Others)
欧盟公司
1. 阿朗新科荷兰有限公司 18.1%
(ARLANXEO Netherlands B.V.)
2. 埃克森美孚化工法国公司 14.7%
(ExxonMobil Chemical France (ExxonMobil Chemical France Société par Actions Simplifiée))
3. 意大利玮萨黎司有限公司 16.5%
(Versalis S.p.A.)
4. 其他欧盟公司 31.7%
(All Others)
三、征收保证金的方法
自2020年10月28日起,进口经营者在进口原产于美国、韩国和欧盟的三元乙丙橡胶时,应依据本初裁决定所确定的各公司的倾销幅度向中华人民共和国海关提供相应的保证金。保证金以海关审定的完税价格从价计征,计算公式为:保证金金额=(海关审定的完税价格×保证金征收比率)×(1+进口环节增值税税率)。
四、评论
各利害关系方在本公告发布之日起10天内,可向调查机关提交书面评论意见。
附件:中华人民共和国商务部关于原产于美国、韩国和欧盟的进口三元乙丙橡胶反倾销调查的初步裁定.wps
中华人民共和国商务部
2020年10月23日
附件 中华人民共和国商务部关于原产于美国、韩国和欧盟的进口三元乙丙橡胶反倾销调查的初步裁定
根据《中华人民共和国反倾销条例》(以下称《反倾销条例》)的规定,2019年6月19日,商务部(以下称调查机关)发布2019年第29号公告,决定对原产于美国、韩国和欧盟的进口三元乙丙橡胶(以下称被调查产品)进行反倾销立案调查。
调查机关对被调查产品是否存在倾销和倾销幅度、被调查产品是否对三元乙丙橡胶产业造成损害及损害程度以及倾销与损害之间的因果关系进行了调查。根据调查结果和《反倾销条例》的规定,调查机关作出初步裁定如下:
一、调查程序
(一)立案及通知。
1.立案。
2019年5月8日,中国石油天然气股份有限公司吉林石化分公司和上海中石化三井弹性体有限公司(以下称申请人)代表国内三元乙丙橡胶产业,正式向调查机关提起对原产于美国、韩国和欧盟的进口三元乙丙橡胶进行反倾销调查的申请。
调查机关审查了申请材料,认为本案申请符合《反倾销条例》第十一条、第十三条和第十七条有关申请人提出反倾销调查申请的规定。同时,申请书中包含了《反倾销条例》第十四条和第十五条规定的反倾销立案调查所要求的内容及有关的证据。
根据上述审查结果及《反倾销条例》第十六条的规定,调查机关于 2019年6月19日发布立案公告,决定对原产于美国、韩国和欧盟的进口三元乙丙橡胶进行反倾销立案调查。倾销调查期为 2018年1月1日至2018年12月31日(以下称倾销调查期),产业损害调查期为2015年1月1日至2018年12月31日(以下称损害调查期)。
2.立案通知。
在决定立案调查前,根据《反倾销条例》第十六条规定,调查机关就收到国内三元乙丙橡胶产业反倾销调查申请书一事通知了美国驻华大使馆、韩国驻华大使馆和欧盟驻华代表团。
2018年6月19日,调查机关发布立案公告,并向美国驻华大使馆、韩国驻华大使馆和欧盟驻华代表团提供了立案公告和申请书的公开文本。同日,调查机关将立案情况通知了本案申请人及申请书中列明的美国、韩国和欧盟企业。
3.公开信息。
在立案公告中,调查机关告知利害关系方,可以通过商务部贸易救济公开信息查阅室查阅本次反倾销调查相关信息的公开版本及保密版本的非保密概要。
立案当天,调查机关通过商务部贸易救济公开信息查阅室公开了本案申请人提交的申请书的公开版本及保密版本的非保密概要,并将电子版登载在商务部网站上。
(二)初裁前调查。
1.登记参加调查。
在规定时间内,美国陶氏化学公司(The Dow Chemical Company)、埃克森美孚公司(Exxon Mobil Corporation)、阿朗新科美国有限公司(ARLANXEO USA LLC)、美国狮子弹性体有限公司(Lion Copolymer Geismar,LLC)、韩国锦湖POLYCHEM株式会社(KUMHO POLYCHEM Co.,Ltd.)、韩国勒未橡胶有限公司(后中文译名更改为乐天玮萨黎司弹性体有限公司)(Lotte Versalis Elastomers Co.,Ltd.)、阿朗新科荷兰有限公司(ARLANXEO Netherlands B.V.)、埃克森美孚化工法国公司(ExxonMobil Chemical France)、意大利玮萨黎司有限公司(Versalis S.p.A.),国内进口商裕德化工贸易有限公司、东莞裕祺贸易有限公司以及国内企业中国石油天然气股份有限公司吉林石化分公司、上海中石化三井弹性体有限公司等向调查机关登记参加调查。
2.抽样调查。
在规定登记参加调查期限内,美国4家公司、欧盟3家公司、韩国2家公司登记参加调查。由于美国、欧盟参加调查的公司较多,根据《反倾销条例》第二十条和《反倾销调查抽样暂行规则》的规定,调查机关决定采用抽样调查的方法对美国和欧盟企业进行反倾销调查,韩国企业不抽样。
2019年7月17日,调查机关发布《关于三元乙丙橡胶反倾销案抽样方案及初步抽样结果的通知》,将抽样方案及初步抽样结果通知美国和欧盟各登记参加调查公司并征求其评论意见。至评论意见提交截止日,无利害关系方对抽样方案及结果提出异议。
2019年7月25日,调查机关发布《关于发放三元乙丙橡胶反倾销案调查问卷的通知》,决定根据《关于三元乙丙橡胶反倾销案抽样方案及初步抽样结果的通知》中采用的抽样方案抽样:将美国、欧盟生产商按登记参加调查表报告的出口量大小进行排序,各选取出口数量前2位的公司作为答卷公司。最终选取的公司分别是:(1)美国公司:陶氏化学公司、埃克森美孚公司;(2)欧盟公司:阿朗新科荷兰有限公司、埃克森美孚化工法国公司。
3.发放和回收调查问卷。
2019年7月29日,调查机关向各利害关系方发放了《三元乙丙橡胶反倾销案国(地区)外出口商或生产商调查问卷》、《三元乙丙橡胶反倾销案国内生产者调查问卷》、《三元乙丙橡胶反倾销案国内进口商调查问卷》,要求在规定时间内提交准确、完整的答卷。调查机关将发放问卷的通知和问卷电子版登载在商务部网站上,任何利害关系方可在商务部网站上查阅并下载本案调查问卷。当日,调查机关还向国内申请人和抽样公司单独发放了问卷通知,并告知美国、韩国驻华大使馆和欧盟驻华代表团。
在规定期限内,美国陶氏化学公司、埃克森美孚公司、韩国锦湖POLYCHEM株式会社、乐天玮萨黎司弹性体有限公司、阿朗新科荷兰有限公司、埃克森美孚化工法国公司提交了延期答卷申请。经审查,调查机关同意给予延期。至答卷递交截止日,美国陶氏化学公司、陶氏化学日本有限公司、陶氏化学太平洋有限公司、陶氏化学太平洋(新加坡)私人有限公司、陶氏化学(上海)有限公司、埃克森美孚公司、埃克森美孚亚太区私人有限公司、埃克森美孚化工商务(上海)有限公司、韩国锦湖POLYCHEM株式会社、JSR Corporation、JSR Trading Co.,Ltd.、上海立驰高化工有限公司、天津国成橡胶工业有限公司、日密科偲橡胶(佛山)有限公司、乐天玮萨黎司弹性体有限公司、玮萨黎司商贸(上海)有限公司、阿朗新科荷兰有限公司、阿朗新科高性能弹性体(常州)有限公司、埃克森美孚化工法国公司、埃克森美孚石油化工有限责任公司以及国内企业中国石油天然气股份有限公司吉林石化分公司、上海中石化三井弹性体有限公司向调查机关提交了答卷。
4.听取利害关系方意见。
2019年9月20日,乐天玮萨黎司弹性体有限公司提交了《三元乙丙橡胶反倾销案Lotte Versalis Elastomers Co.,Ltd.中文名称确认书》。
应韩国乐天玮萨黎司弹性体有限公司申请,调查机关于2019年11月6日听取了该公司对本案的意见陈述,会议主要内容已送至公开信息查阅室。
应韩国锦湖POLYCHEM株式会社申请,调查机关于2020年1月20日听取了该公司对本案的意见陈述。
2020年3月20日,美国陶氏化学公司提交《关于三元乙丙橡胶反倾销案的无损害抗辩意见书》。
2020年4月20日,美国驻华大使馆提交《美国政府对原产于美国的三元乙丙橡胶的反倾销调查的评论意见》。
2020年6月19日,埃克森美孚化工法国公司提交了《关于埃克森美孚两家生产商中英文名称的确认函》。
2020年9月25日,申请人提交了《关于三元乙丙橡胶清关费用的说明》。
2020年10月19日,申请人提交了《关于美国利害关系方<关于三元乙丙橡胶反倾销案美国非市场状况调查问卷的答卷>的评论意见》。
5.初裁前实地核查。
根据《反倾销条例》第二十条的规定,2020年1月7日,调查机关发布《关于开展三元乙丙橡胶反倾销案国内企业实地核查的通知》。2020年1月15日至17日,调查机关对上海中石化三井弹性体有限公司进行了初裁前实地核查,收集有关证据,相关核查材料已送至公开信息查阅室。
6. 关于对美国倾销幅度计算中存在影响价格可比性的非市场状况的调查。
2020年4月13日,申请人向调查机关提交了《三元乙丙橡胶反倾销案请求对美国三元乙丙橡胶的非市场状况进行调查的申请》。
2020年4月15日,调查机关将该申请书放入公开信息查阅室,同时书面通知美国驻华大使馆和美国各利害关系方,请其前往公开信息查阅室查阅,并于7日内提交评论意见。在规定时间内,美国陶氏化学公司、埃克森美孚公司提交了评论意见,美国驻华大使馆请求延期提交对非市场状况调查申请书的评论意见。经审查,调查机关同意美国驻华大使馆延期至4月27日提交评论意见。4月27日,美国驻华大使馆提交《美国政府关于对美国三元乙丙橡胶非市场状况调查申请的评论意见》。
2020年4月23日,调查机关就本案申请人的申请向美国驻华大使馆和美国各利害关系方发放《三元乙丙橡胶反倾销案美国非市场状况调查问卷》,请其于7日内将有关问卷答卷提交至调查机关。
在规定时间内,美国陶氏化学公司、埃克森美孚公司申请延期提交《三元乙丙橡胶反倾销案美国非市场状况调查问卷》。经审查,调查机关于2020年4月28日复函上述利害关系方,同意将问卷答卷截止日期延长至5月6日。
2020年5月6日,美国陶氏化学公司、埃克森美孚公司提交了《三元乙丙橡胶反倾销案非市场状况调查问卷答卷》。
7.公开信息。
根据《反倾销条例》第二十三条的规定,调查机关已将调查过程中收到和制作的本案所有公开材料及时送交商务部贸易救济公开信息查阅室。各利害关系方可以查找、阅览、摘抄、复印有关公开信息。
(三)延期公告。
2020年6月18日,调查机关发布延期公告,决定将本案的调查期限延长6个月,即截止日期为2020年12月19日。
二、被调查产品
调查范围:原产于美国、韩国和欧盟的进口三元乙丙橡胶。
被调查产品名称:三元乙丙橡胶。
英文名称:Ethylene-Propylene-non-conjugated Diene Rubber或Ethylene Propylene Diene Monomer(EPDM)
化学结构式:
物理化学特性:三元乙丙橡胶是乙烯、丙烯以及非共轭二烯烃的三元共聚物,常温下外观为白色或者微黄色固体,易于混合。三元乙丙橡胶的物理性能、化学特征和加工性能主要因聚合体的分子结构不同而异,而与分子结构相关的因素有第三单体种类、门尼粘度和充油含量等各种要素。三元乙丙橡胶具有较好的耐老化性、耐化学品性、耐低温性及介电性能。
主要用途:三元乙丙橡胶用途比较广泛,可用于建筑、电线电缆、汽车工业、交通等领域。建筑方面,主要用于屋顶单层防水卷材等;电线电缆方面,主要用于民用和商用建筑的电力输入线、建筑机械用电缆、矿用电缆、核电站用电缆、汽车点火线、控制及信号电缆等;汽车工业方面,主要用于汽车、卡车和公共汽车非轮胎部件,包括汽车的水箱及耐热胶管、密封条、橡胶带、车身及底盘的部件、挡雨条、底板和环管等;交通方面主要应用于车辆车门窗密封条、减震、止水带等。
该产品归在《中华人民共和国进出口税则》:40027010和40027090。
三、倾销和倾销幅度
(一)正常价值、出口价格、调整项目的初步认定。
美国公司
关于美国公司倾销幅度计算中影响价格可比性的非市场状况。
本案申请人主张,美国存在导致被调查产品及同类产品生产成本偏离正常市场水平的状况,美国市场同类产品的成本及价格不能作为公平比较的基础。具体包括:(1)美国政府一直将能源视为政府重点工作领域,联邦及州政府颁布法律、法规及指导性文件,通过产业规划、扶持和补贴等方式,联合干预本国石油、天然气、煤炭、可再生能源等基础性产业,鼓励国内石油、天然气增产,减少对外依赖;(2)石油、天然气、煤炭、可再生能源等基础性产业获得了巨额补贴等益处,使国家经济运行的原料、动力等方面受到影响,具有突出优势,妨碍了资源的市场配置,使美国国内成为不完全、有失公平竞争的市场环境;(3)石油、天然气、煤炭是化工业(包括乙烯化工和煤化工)产品链的源头,也是三元乙丙橡胶主要原料乙烯、丙烯的源头。由产品链的传导,美国政府对上述基础性产业的多方面扶持,使化工业从源头起就受到政府干预,其各产业成本及价格明显含有扶持和补贴的成分;(4)涉案美国公司均属美国大型化工制造企业,三元乙丙橡胶等成品为其化工产品链的终端产品,与(石油、天然气)乙烯化工、煤化工都有一定的关联。在不完全、有失公平竞争的市场环境中,涉案企业三元乙丙橡胶生产的原材料、动力等基本要素及企业盈利都获得益处,进而使其生产成本及价格明显降低,偏离正常市场水平。
基于上述原因,申请人请求调查机关对影响美国市场被调查产品同类产品成本计算及价格可比性的非市场状况进行调查,并在确定同类产品的正常价值时做出相应调整,以排除非市场因素对同类产品的成本和价格的影响。
美国政府、陶氏化学公司、埃克森美孚公司在评论意见中指出,本案申请人提出的“非市场状况”调查申请缺乏中国法律或程序依据,启动调查将违反中国在世界贸易组织项下的相关义务,申请人提供的证据与美国三元乙丙橡胶生产成本和价格没有关联关系。
此外,陶氏化学公司还提出如下进一步评论意见:申请人在主张美国石油和天然气行业获得了政府的大量“补贴”,在《反补贴协议》框架之外调查所指控的项目绕开了《反补贴协议》的实质性要求;区分市场经济中的补贴与非市场经济中的政府干预也十分重要,后者不仅涉及经济激励措施,还涉及政府对目标行业的微观管理,上游产业或美国化工行业本身中不存在美国政府的此类微观管理;申请人没有履行其主张的举证责任;申请人就美国政府通过法律法规干预(采用补贴以外的措施)上游市场和化工行业本身,以对美国的价格和生产水平产生有利影响,未确定出所涉及的具体法律规定,未引述此类法律法规中的具体规定;申请人仅模糊地主张,美国三元乙丙橡胶生产商有能力操纵价格,而未提供此类结论性声明之外的任何分析。
调查机关对上述意见进行了初步审查。调查机关认为,《中华人民共和国对外贸易法》第四十一条规定,其他国家或者地区的产品以低于正常价值的倾销方式进入我国市场,对已建立的国内产业造成实质损害或者产生实质损害威胁,或者对建立国内产业造成实质阻碍的,国家可以采取反倾销措施,消除或者减轻这种损害或者损害的威胁或者阻碍。《反倾销条例》第三条规定,倾销是指在正常贸易过程中进口产品以低于其正常价值的出口价格进入中华人民共和国市场。《反倾销条例》第六条规定,对进口产品的出口价格和正常价值,应当考虑影响价格的各种可比性因素,按照公平、合理的方式进行比较。申请人主张的美国市场中存在的非市场状况有可能影响本案被调查产品及同类产品的主要生产要素投入,进而对被调查产品及同类产品的成本和价格产生重大影响。因此,根据上述规定,同时鉴于申请人提交的相关申请符合表面证据要求,调查机关决定对这些可能影响正常价值计算的因素进行调查。
在经延期后的规定时间内,陶氏化学公司和埃克森美孚公司向调查机关提交了答卷。除此以外,调查机关未收到任何其他美国利害关系方的答卷。陶氏化学公司在答卷中主张,问卷中诸多问题涉及石油、天然气、煤炭行业,与被调查产品无关,公司不直接在这些行业从事活动,也不是该等商品的生产商,因此,公司不掌握这类的全部信息,答卷中根据公开可得信息进行了答复。埃克森美孚公司在答卷中主张,问卷问题与三元乙丙橡胶反倾销调查无关,调查机关应使用公司答卷中报告的原材料成本,认为对原材料成本的影响可以追溯至原油层面,对于埃克森美孚公司这类一体化能源化工公司来说不公平,问卷以整个化工行业为视角设置,作为一个单独的公司无法给出全面且合理的答复,答卷根据公开可得信息提供。
经初步审查,美国陶氏化学公司和埃克森美孚公司(以下称美国公司)在答卷中对调查问卷的部分问题未予回答或仅提供了网站链接,而未能按照问卷要求提供完整、准确的答卷内容。据此,调查机关无法通过美国这两家公司答卷获得关于被调查产品所在行业及其上游原材料及能源行业的所有相关信息。调查机关认为,调查问卷所要求的信息均与确定被调查产品正常价值的生产及成本直接相关,除答卷的陶氏公司和埃克森美孚公司外,其他美国利害关系方都收到了问卷,也获得了充分时间和机会完成答卷以提供信息,但是并未提供。因此,对于美国公司答卷中未按要求进行回答的这部分内容,调查机关在初裁中暂决定根据《反倾销条例》第二十一条的规定,在已经获得的事实和可获得的最佳信息的基础上进行审查和评估,其中包括申请人提交的材料和调查机关在以往案件中所掌握的相关事实和信息。
1. 美国政府部门或公共部门对石油、天然气、煤炭、可再生能源等资源的管理和限制。
美国公司在答卷中填报了美国政府对石油和天然气(包括页岩油和页岩气,下同)、煤炭、可再生能源等行业负有监管职责的有关部门信息。关于具体监管内容,虽然问卷明确要求提供政府或公共部门的具体监管行为以及相关生产商在投资、生产等经营活动中受到的具体监管情况,但美国公司并未按照问卷要求提供完整回答。例如,美国公司只是在答卷中提及了《矿产租赁法》及《外大陆架土地法》名称,美国内政部管理陆岸的联邦地下矿产及离岸的海下土地里的石油、天然气及煤炭,州公共机构通常管理石油及天然气的开发及生产等总体性描述,并未提供相关具体内容。甚至对于一体化的能源化工公司埃克森美孚公司,也是如此。其他美国利害关系方也未提交答卷或作出回应。
经初步审查,根据申请书材料、美国公司答卷以及调查机关所掌握的相关事实信息,调查机关发现,美国政府通过相关立法和产业规划与政策,以及资金扶持措施、进出口管制等方法,全方位加强对能源行业的管理、约束和激励,在资源配置中发挥了重要影响,实现了对石油、天然气、煤炭、可再生能源等资源的整体规划和高度控制。
美国对石油、天然气、煤炭、可再生能源进行管理和限制的政府部门或公共机构包括美国联邦能源管理委员会、能源部、环境保护署、内政部海洋能源管理局、内政部土地管理局、内政部安全和环境执法局、内政部自然资源收入办公室、印第安人事务局能源和矿产开发部、运输部管道和有害物质安全管理局等部门。在州一级包括德克萨斯州环境质量委员会、德克萨斯州铁路委员会、宾夕法尼亚州环境保护局等机构。
美国政府对石油、天然气、煤炭、可再生能源等资源进行管理和限制涉及的立法包括:1920年《矿产租赁法》修正案、1932年《联邦石油和天然气专营权管理法》、1953年《外大陆架土地法》、1954年《多重矿产开发法》、1969年《国家环境政策法》、1976年《联邦土地政策及管理法》、、1978年《天然气政策法案》、1980年《原油暴利税法》、1992年《能源政策法案》、1997年《纳税人减负法案》、2005年《能源政策法案》、2008年《紧急经济稳定法案》、2009年《美国复苏与再投资法案》等。
2. 石油、天然气、可再生能源产业规划和战略的实施及影响。
申请人主张,能源一直是美国政府重点工作领域,美国政府以能源规划等形式管理调控着庞大的能源市场。为了解作为生产三元乙丙橡胶主要原材料和动力来源的石油和天然气行业以及可再生能源行业产业规划、法律法规、政策,以及这些文件的实施可能对美国能源生产企业经营活动、生产成本及美国能源市场价格造成的影响,特别是美国政府通过上述各项政策目标对能源领域的资源配置产生的具体影响,调查问卷列出了一些具体问题。调查问卷还要求提供美国为确保能源安全制定的相关政府文件。美国公司并未予以明确回答,只是提供了相关网站联接,未按问卷要求提供报告和有关文件的具体内容。其他美国利害关系方也未提交答卷或作出回应。
关于相关能源政府文件的制定目的,美国公司答卷提供了部分信息。陶氏化学公司指出,《2005年能源政策法案》制定目的在于“以安全、可负担和可靠的能源为我们的未来就业保驾护航”;《2009年美国复苏与再投资法案》目的之一在于为能源效率和科技提供补充拨款。埃克森美孚公司也指出,“美国国家安全战略主要讨论拟利用各方面且必要的美国力量以实现国家的安全目标”。
在对美国利害关系方答卷的评论意见中,申请人进一步指出,受到20世纪70年代能源危机的严重影响,从1973年至今,美国历届政府始终将能源独立作为核心的战略追求。1973年,尼克松总统首次提出“能源独立”政策。小布什总统签署的《2005年美国能源政策法案》注重美国国内能源的多元化供应,2006年的《美国能源战略计划》大力支持天然气和核能为主的清洁能源发展,通过资金、强制购买等方式鼓励加大美国国内能源生产。奥巴马政府在第二任期开始追求化石能源与清洁能源发展的平衡。特朗普总统依然重申“能源独立”,并将重心放在传统化石能源开采和出口上。《美国优先能源计划》提出要充分开发和利用美国的能源资源,增加美国人的就业机会,推动美国经济发展,减少对国外石油依赖,实现美国的能源独立。2017年6月,特朗普总统宣布了一系列推动能源产业发展的新举措,还提出美国要在全球能源市场上拥有主导权,要“让美国占领全球能源市场”,其战略目标由“能源独立”提升到“能源统治”。具体看,美国不断加强传统化石能源开采,导致页岩油产量的大幅增加,天然气产量也呈现爆发式增长态势。
调查机关认为,美国政府高度重视包括石油、天然气、可再生能源等能源产业,甚至将其作为国家安全的重要战略内容之一,为此进行了全面、系统的战略规划,如《美国能源战略计划》、《美国优先能源计划》等。美国政府从1973年就开始强调能源独立,2005年以后通过一系列政府规划文件,进一步明确鼓励本土能源供应、减少国外能源依赖、拥抱能源支配(地位)和促进能源出口等能源产业干预目标。为实现相关目标,美国政府实施了一系列推动能源产业发展的具体举措。
经初步调查,调查机关发现,在立法上,美国制订了一系列法律、法规、法令、政策性文件以实现对能源行业的管理、约束和激励。2005年制订《能源政策法案》,明确将油页岩作为新兴战略资源的地位,指令能源部协调促进油页岩资源商业性开发,对相关油气公司进行税费减免等诸多优惠。2009 年制订了《复兴与再投资法案》等,对行业具有指导意义,明确规定支持增加石油天然气生产供应,减少对进口石油的依赖。2011年,美国联邦政府发布《未来能源安全蓝图》,再次强调能源行业的战略意义,并提出三大战略以确保美国未来能源供应和安全:一是增加国内油气开发和生产,引领全球能源清洁、安全供应;二是向消费者提供更多选择,降低成本支出和能源消费;三是鼓励清洁能源技术创新,此外还通过“识别公有土地的开采区域”、“为油气生产提供激励机制”、“制订区域发展战略”、“鼓励负责任的天然气开发行为”等规定鼓励开发、降低企业开采成本、促进资源向能源开发开采和生产领域流动。同时,政府专门设立相应的政府机关来对这些行为进行监督和管理,包括进行授权认证、兑现鼓励措施等。此外,美国联邦、州和各级政府还存在很多向高风险勘探的生产者以及小型生产者实施所得税减免等相关法律和优惠政策。
调查机关认为,正是由于美国政府对石油、天然气、可再生能源行业进行了全面、系统的战略规划,并实施了一系列具体的激励措施,扭曲了相关行业的资源配置,推动了美国石油、天然气、可再生能源产量增长,降低了产品价格。尤其是2005年将页岩油和页岩气明确为新兴战略资源之后,美国石油和天然气的产量均大幅增长。美国能源行业的产业规划对美国能源行业发展、资源配置,能源生产企业经营活动和生产成本,市场供给和市场价格影响显著,美国石油、天然气、页岩气的产量均大幅增长。根据美国能源信息署的统计,2009至2018年,石油产量从19.3亿桶增加至39.8亿桶;天然气由26万亿立方英尺增加至37万亿立方英尺;页岩气由31亿立方英尺增加至220亿立方英尺,其中页岩气的增长最明显。而且,在以上产业政策的刺激下,美国国内石油、天然气的生产除满足其国内消费需求外,已经开始向国外市场大量出口。以天然气为例,2018年美国国内总消费量为30万亿立方英尺,供过于求部分则主要面向国外市场。
3.美国政府对能源行业的扶持措施。
美国公司答卷认为调查问卷中的相关问题与被调查产品无关,公司并不掌握相关信息等,但仅提交了相关法案的网址链接、美国世贸组织补贴通报号,或强调与营业费用可抵扣时间有关的税收规定不是补贴等,而没有按照问卷要求说明政府部门执行相关法案的具体举措并提供法案中有关政策的具体内容等。其他美国利害关系方也未提交答卷或作出回应。
关于埃克森美孚公司“相关补贴与纳税人可以在确定应纳税所得额时扣除业务费用的时间有关,扣除费用的时间不影响纳税人扣除营业费用总额,且不是补贴”的主张。调查机关认为,公司并未就其主张提供进一步证据材料,但根据调查机关掌握的相关信息,营业费用扣除时间将影响涉案美国公司或相关能源公司的税款支付金额和支付时间,将对公司的实际经营支出产生影响,因此,调查机关不接受公司的相关主张。关于埃克森美孚公司“申请人提供报告等证据时间段超出了本案调查时间范围”的主张。调查机关认为,公司并未就其主张提供进一步证据材料,但相关能源行业的政府干预措施与本案被调查产品和同类产品的原材料和能耗支出等生产成本方面相关,干预措施扭曲相关市场资源配置的影响并不一定仅限于措施实施期间,措施实施之后也可能产生深远影响,因此,调查机关不接受公司的相关主张。
经初步审查,调查机关认为,美国政府为了实现前述能源战略,对能源行业的生产投资提供了大量扶持政策,这些扶持政策激发了投资者对投资相关资源勘探开发的积极性,吸引了投资和生产,对资源配置造成了影响。
(1)关于能源行业的总体扶持措施。
①联邦政府扶持措施。
首先,提供税收减免和财政补贴,降低企业经营成本,促进投资。申请人提交的申请显示,根据美国2005年出台的《能源政策法案》,从2006年起,美国政府将给予法案各项计划配套总额为145亿美元的减税优惠及补助,其中给予石油、天然气、煤炭等传统能源公司的减税额达90亿美元,鼓励其增加产量;2006年投入运营的生产非常规能源油气井,在2006年至2010年可获得每桶油当量3美元的补贴;从2006年起10年内给予提高效能和可再生能源的补贴额近50亿美元。美国2008年出台《紧急经济稳定法》为清洁能源产业提供182亿美元税收抵免的激励措施。2009年出台的《经济复苏和再投资法》授权美国财政部为投资于“先进能源项目”的纳税人提供23亿美元的税金抵免,其中包括“用于生产太阳能、风能、地热能或其它可再生能源的产品”。
美国能源信息署(EIA)和德克萨斯大学研究显示,2010年至2016年,美国政府对煤炭、天然气和核能发电的补贴为0.05美分至0.2美分/千瓦小时。2010年至2013年,联邦政府对可再生能源的补贴增长了54%,从86亿美元增加到132亿美元;2010年至2016年,美国政府对太阳能的补贴达到10美分至88美分/千瓦小时;同期风能补贴为1.3美分至5.7美分/千瓦小时。美国能源信息署(EIA)于2018年4月发布的《2016年财政年度联邦政府对能源的直接财政干预和补贴报告》显示,2016年美国对能源产业的补贴高达149.83亿美元。美国国会预算办公室(CBO)公布的文件显示,美国联邦政府2011年补贴计划中,化石燃料产业得到25亿美元的税收优惠。2015年12月,美国向G20同行审议小组提交的《美国化石燃料补贴自述报告》,根据现行法律条款,联邦政府每年对化石燃料产业,包括石油、天然气、煤炭等生产者补贴为16项,消费者补贴1项,根据该报告,2016年财政年度美国化石燃料补贴预计为81.57亿美元,其中生产者补贴为47.57亿美元,消费者补贴为34亿美元。
②地方政府扶持措施。
除了联邦政府的扶持政策之外,美国各地方政府也颁布和实施了一系列扶持政策,以鼓励石油天然气公司对相关资源进行开发,吸引石化能源生产企业的投资和扩大生产。
各州政府就《复兴与再投资法案》等能源政策指导性文件配套了相应的扶持政策。美国能源部网站详细披露了各州政府的能源复兴计划备忘录。以德克萨斯州为例,德克萨斯州地方政府法典第380节规定,授权市政当局提供一系列旨在促进国家和地方经济发展的激励措施,如可以获得城市资金提供的贷款和赠款,以很少的代价或无偿使用市政雇员、市政设施、市政服务等。答卷显示,有美国利害关系方就从此项政策中获得了巨大收益;德克萨斯州经济发展法规定,鼓励德克萨斯州的大规模制造及研究和开发及可再生能源资本投资计划,并规定企业投资达一定数额,以可减免8年财产税;根据自由港区免税政策,企业因特定目的停留在德克萨斯州的产品免除财产税,以175天为限,系用作组装、存放、制造、处理等各种贸易。自由港免税项目包括货品、制品、商品、矿石等等;根据制造业免税政策,对现有及扩大生产规模的制造业企业的实体财产、天然气及电力,免除州销售和使用税。
此外,调查机关发现部分州存在大量以吸引投资或扩大投资的补贴项目。包括:《俄亥俄州修正法典》第122.011节授权俄亥俄州发展部在一定范围内管理州内各种激励措施项目;《印地安纳州行政法典》授权为吸引企业投资实施一揽子激励措施项目;《肯塔基州产业振兴法》第12.020节授权肯塔基州政府提供一揽子税收激励措施项目;《肯塔基州法典》第154.32章授权肯塔基州政府实施商业投资计划,第154.31章授权实施企业激励措施项目,第154.34章授权实施再投资激励措施项目;《伊利诺伊州企业园区法案》授权伊利诺伊州政府实施企业园区税收减免项目;《爱荷华州法案》授权爱荷华州政府实施高质就业补贴项目;阿肯色州《2003年综合经济刺激法案》,阿肯色州政府实施投资和就业创造激励,包括提升阿肯色州鼓励措施、投资阿肯色州鼓励措施、创业退税鼓励措施、投资所得税抵免鼓励措施和退税鼓励措施;北达科他州《世纪法典》授权实施新产业公司税收减免项目;《密歇根州1974年第198号法案》授权密歇根州实施生产商税收优惠政策等。
根据美国能源信息署的统计,美国在2018年已成为全球最大的原油生产国。2018年美国石油和天然气的产量增长创造了新的记录并领先全球,石油和天然气的出口量也创造了新的记录。在2018年11月的最后一周,美国实现了原油和石油产品的净出口。调查机关认为,美国对能源产业的干预和扶持不但极大地刺激了本国的能源生产,深刻影响了美国国内能源市场的供求关系。
(2)美国政府对页岩气产业的扶持措施。
经初步调查,调查机关发现,美国政府在页岩气开采基础性技术研发方面提供了各种扶持措施。美国政府成立并资助美国联邦能源管理委员会研究中心和美国天然气研究院,邀请多所大学、研究机构和私营的石油天然气公司进行联合研究,推动“东部页岩气项目”。研究中心成功研发了页岩气大型水力压裂技术,极大提高了非常规能源的开发效率,向众多美国国内公司推行开采技术并广泛运用后,显著降低了开采成本,使得页岩油气得以进入规模化和商业化轨道,产量大幅增加。
在美国能源部设立的专项基金资助下,美国能源部所属的Sandia国家实验室很快研发出包括微地震成图、页岩及煤层水力压裂等技术;在美国能源部和美国联邦能源管理委员会的共同资助下,德克萨斯州天然气公司Mitchell Energy成功完钻第一口页岩气水平井;在政府的资助下,Mitchell Energy公司研发了具有经济效益的滑溜水压裂技术,作为核心技术被广泛运用于页岩气开发。这些政府资助技术的规模化应用提高了页岩气井产量,降低了开采成本,使页岩气生产规模迅速扩大。
2005年《能源政策法案》规定,政府将在未来10年内每年投资4500 万美元用于包括页岩气在内的非常规天然气研发。从20世纪80年代至今,美国能源部、美国联邦能源管理委员会等多个政府部门先后投入了60多亿美元用于非常规气的勘探开发,其中用于培训和研究的费用近20亿美元,后来诸多技术突破都得益于这些研究。其间,美国政府资助研发的技术主要包括:水平井钻井技术、水平井多段压裂技术、清水压裂技术和近期出现的同步压裂技术,这些政府资助技术的规模化应用提高了页岩气井产量,降低了开采成本,使页岩气生产进入了工厂化、规模化开发阶段。且由于页岩气的产量增加,促使原油价格下降。
根据美国政府向世贸组织提交的补贴通报,2013年和2014年用于天然气技术研究开发的经费分别为1390万美元和2060万美元。除联邦政府的产业政策外,拥有页岩气资源的德克萨斯州政府也相继颁布了一些鼓励政策,其中最具代表性的是德克萨斯州。自1992年以来,该州政府对页岩气开发免征生产税,实行每立方米3.5美分的州政府补贴(占州政府全年税收的7.5%)。
因此,调查机关认为,这些政策在很大程度上鼓励了石油天然气公司对页岩气资源进行开发,使得美国非常规气探井数量大幅上升,天然气探明储量和产量也随之大幅增加。
4. 石油、天然气行业市场准入的管控。
关于石油、天然气市场准入的管控措施,在非市场状况调查问卷的答卷中,美国利害关系方未按调查机关要求提供全部必要信息。经初步调查,调查机关发现,美国政府对其国内石油、天然气和煤炭行业的市场准入进行了管控,同时,对政府所有的土地上的石油和天然气资源的市场准入具有管辖权。政府通过对上述市场准入的管控干预了正常的市场资源配置。
美国政府对石油市场准入进行了严格的市场监管,主要包括从业资格的认定审查,组织油气资源勘探、开发的招标和许可证的发放。同时,美国在《天然气法案》第7部分授予了联邦能源管理委员会对从事天然气销售的公司或转售和内陆运输的公司在市场准入上的管辖权。联邦能源管理委员会通过颁发公共便利和必要性证书,批准天然气公司运输和销售天然气。美国政府对石油市场准入和天然气销售、运输准入进行了管控,影响了市场的资源配置作用。
美国政府对政府所有的土地上石油和天然气资源的市场准入具有管辖权。美国的矿产性权益,例如石油和天然气,通常由拥有表面土地的个人、公司或政府单位所有。根据美国联邦政府2011年发布的《未来能源安全蓝图》为鼓励大规模开采国家资源,仅在过去2年内美国政府就出让了百万亩以上的公有土地和联邦水资源以供油气开采。美国政府对占全部油气资源重要部分其政府所有土地上的石油和天然气资源具有所有权和控制权。美国内政部土地管理局对属于美国政府所有土地上的石油和天然气的出租、勘探、开发和生产拥有管辖权。由土地管理局审查批准申请在联邦土地上钻探和开矿的请求。美国邮政管理局和总务管理局拥有对联邦政府所有土地上的石油和天然气的出租权。美国政府通过以上措施对矿产使用和油气资源的合理开发和利用实施了监督管理。实现其产业政策和战略目的。
因此,调查机关认为,美国政府对其国内石油、天然气行业进行了市场准入管控;美国政府对全部油气资源重要部分的政府所有土地上的石油和天然气资源的市场准入具有管辖权。政府为实现其产业政策,通过对相关准入管控干预了市场配置资源作用。
5. 石油、天然气行业的进出口管制。
(1)石油行业进出口管制。
关于石油行业进出口管制,在非市场状况调查问卷的答卷中,美国利害关系方未按调查机关要求提供全部必要信息。经初步调查,调查机关发现,美国联邦政府曾经长期直接介入干预美国原油的出口贸易,对石油资源配置进行人为控制,导致美国正常石油市场受到影响。
1975年美国联邦政府出台了《能源政策和保护法》,美国原油的进出口管理主要由美国商务部负责,该法案规定了美国原油的出口需要获得美国政府的事先授权,由美国商务部颁发许可。美国政府通过该法案授权的对出口的管制,达到控制美国国内油价,保障石油供应安全的目的。2015年12月美国联邦政府出台了《2016年综合拨款法案》。该法案于2015年12月18日生效,正式解除了长达40年的原油出口禁令。原油出口不再需要获得美国商务部颁发的许可。但根据《综合拨款法案》规定,出口解禁仍不是无条件、完全市场化的。美国《出口管理条例》中仍规定了要求从美国商务部工业安全局获得许可方能从美国出口原油的短缺供应条款。2016年5月12日后,美国商务部对《出口管理条例》进行了修改使之符合《综合拨款法案》“联邦政府的任何部门不得对原油出口施加或执行任何限制”的要求,但该法案仍存在豁免的规定以及政府可以通过制裁和禁运的方式对石油的正常出口进行干预。
美国政府自1975年颁布《能源政策和保护法》以来,为保障其石油供应的安全以及实现产业政策,对石油的出口贸易进行了严格的限制,美国政府干预石油正常贸易使得石油行业存在非正常市场状况。虽然,近年来,美国政府逐步放松对原油出口的管制,但经初步调查,调查机关发现,美国政府对原油的管制措施仍未完全取消。同时,美国政府原油出口的长期管制对石油行业、石油市场的影响,美国利害关系方未能充分证明其在调查期内已经消除。相反,埃克森美孚公司提交的信息表明,美国石油产量在长期出口管制取消后,出现剧烈报复性增长趋势,这种趋势至今仍然保持。
(2)天然气行业进出口管制。
关于天然气行业的进出口管制,在非市场状况调查问卷的答卷中,美国利害关系方未按照调查机关的要求提供全部必要信息。经初步调查,调查机关发现,美国联邦政府直接干预美国天然气的进出口贸易,对天然气资源配置进行人为控制,导致美国天然气市场受到影响。
1938年美国政府出台了《1938年天然气法案》,美国天然气进出口受到美国能源部管理。根据美国《1938年天然气法案》强制授权令规定,自1938年6月21日始,未经过联邦动力委员会(现为美国联邦能源管理委员会)批准,任何人不得从事美国与外国天然气的进出口。该法案要求从事天然气包括液化天然气的进出口业务需要美国能源部颁发的许可证。希望与境外买方和卖方进行天然气交易的主体,需要依据能源部相关规定中的要求和程序,申请获得进口和/或出口的批准。委员会具有通过授权令全部或部分授权批准,在认为必要和合适的情形下作出调整等职权。
美国政府自1938年颁布《天然气法案》以来,对天然气的进出口贸易进行了限制,美国政府干预天然气正常贸易使得天然气行业存在非正常市场状况。调查期内,美国政府并未减少或解除对天然气进出口的持续管控,天然气行业在调查期内仍存在非市场状况。
6. 美国政府对石油、天然气价格的干预和限制。
关于美国政府对石油、天然气价格的干预和限制情况,在非市场调查问卷的答卷中,美国利害关系方未按调查机关的要求提供全部必要信息。经初步调查,调查机关发现,美国政府直接或间接地干预和影响美国石油、天然气的价格。
美国商务部对石油的出口存在长期的管控,影响石油市场的正常资源配置,通过政府干预供给的方式,对石油价格进行间接干预。同时,美国政府也通过监管管道输油公司的运营和费率、管道服务和开放,监管管道输送价格,制定费率和价格公示,提出最高限价和最低限价等方式对石油的运输、销售进行干预,从而直接影响美国石油价格。
美国联邦动力委员会(现为联邦能源管理委员会)对天然气的进出口存在长期的管控,影响天然气市场的正常资源配置,对天然气价格进行间接干预。同时,根据美国《1938年天然气法案》就费率和费用的规定,任何天然气公司制定和收受的与天然气运输和销售相关的费率和费用都在联邦动力委员会(现为联邦能源管理委员会)管辖范围,规定天然气公司需要向委员会报备费用和费率,规定除委员会另行通知,除在向委员会和公众通知30天后,任何天然气公司不得就费率、费用等做出改变。
因此,调查机关认为,美国政府通过上述运输和销售费率监管、审批管辖以及提供大量资金支持等方式,对美国石油、天然气、煤炭价格的形成造成干预,导致相关产品价格受到扭曲,不能反映出正常的市场状况。
7. 美国电力行业的非市场状况。
申请人提出,三元乙丙橡胶生产用电、水、蒸汽等动力成本较大,对石油、天然气和煤炭的扶持和补贴也必然通过电力市场传导至三元乙丙橡胶,使其动力成本受到影响而降低。在非市场状况调查问卷的答卷中,美国利害关系方未按照调查机关要求提供全部必要信息。
(1)美国政府对电力行业的监管和控制。
根据美国公司提供的部分答卷内容,经初步调查,调查机关发现,美国能源部、能源信息署和联邦能源管理委员会是涉及美国电力行业管理的主要政府机构。美国能源部是美国联邦政府的一个下属部门,主要负责美国联邦政府能源政策制定、能源行业管理、能源相关技术研发等。能源部负责电力管制的部门为电力传输和能源可靠办公室,该办公室的主要职能是促进电网的现代化和能源基础设施的弹性,通过调查、合作、便利化、建模和分析、应急准备等手段,确保电力系统的弹性、可靠性和灵活性。该办公室还负责授权电力出口,颁发跨境输电线路建设许可。能源信息署是能源部的能源信息数据统计和分析机构,为美国政府能源决策提供支持服务。能源信息署定期发布有关能源的生产、储备、需求、进出口和价格的周、月、年度报告以及专题报告,是美国能源数据及其分析预测的主要信息来源。联邦能源管理委员会主要负责:监管州际电力的传输和批发交易,审查电力公司的某些并购和公司事务,在有限情况下审查电力传输设施的选址申请,对私人、市政和州的水力发电项目颁发许可证和进行检查,通过强制性可靠性标准保护高压州际传输系统的可靠性,预警和调查能源市场,监管与电力相关的环境事宜,通过收取罚金等手段实施管制要求等,其主要职能是通过适当的管制和市场手段,以“合理的”价格提供可靠、有效率和可持续的能源供应。
美国联邦政府主要通过联邦能源管理委员会对电力工业进行监管,对各电力公司在发电、输配电、销售、市场准入、设施建设、合同条款以及环境合规等方面的监管和审批来履行政府职能,特别在市场准入方面,除非得到监管机构的许可,任何个人或机构都不得建设新的电站或扩建老电站,不得新建、扩建、改造电网项目,或者中止现有电网的运行。调查机关认为,美国电力产业受到美国政府的监管和控制。
(2)美国政府在战略规划和资源需求方面对电力市场的规制。
经初步调查,调查机关发现,由于联邦和州监管机构对电力行业的管辖权进行了划分,美国电力市场的战略规划和资源需求受到许多方面的规制。例如,许多州曾实施资源充足性要求以检查州内的当地配电公司是否拥有足够的资源可以满足需求、是否有足够的备用措施来防止过度依赖一种发电资源。在美国国会2009年颁布《美国清洁能源安全法案》中,美国政府要求到2020年时,电力部门至少有12%的发电量来自风能、太阳能等可再生能源。该法案提及建立一个综合的高效和可再生能源标准,要求每个零售电力供应商销售超过400万兆瓦时节省电力和可再生能源发电产生的电量以满足消费者每年增长的需求。
美国联邦政府1935年出台《公用事业法》,包括《公用事业控股公司法》和《联邦电力法》,在20世纪30年代建立起对电力产业的管制机制,对运营程序、价格和进入进行全面控制。虽然后期通过《能源政策法案》、联邦能源管理委员会第888号和第889号法令以及《能源政策法案2005》等政策逐步放开电力市场的诸多限制,但也进一步说明美国联邦政府事实上通过系列的政策、法案或长期规划来实现其对电力产业的所有权和控制权,影响美国电力产业和市场的发展方向。调查机关认为,美国电力市场的战略规划和资源需求并不是完全的市场导向,而是由美国政府机构监管和控制的。
(3)美国政府对电力出口的管制。
经初步调查,调查机关发现,从美国向国外出口电力需要得到美国能源部(DOE)的事先批准。同样,在为了将电力输出美国而需要建设设施的情况下,能源部必须颁发总统特许,批准这些设施的建设和运营。能源部批准程序的主要目的是用以确保拟议的出口不会对电力系统的可靠性产生负面影响。美国对于输入美国的电力则不进行管制。
调查机关认为,美国联邦政府直接介入干预美国电力的出口贸易,美国的电力出口受到了限制,影响了美国电力资源的市场配置。
(4)美国政府对电力价格的管制。
经初步调查,调查机关发现,美国电力价格须受美国联邦能源管理委员会或州公用事业管理委员会的管理。美国联邦能源管理委员会具体负责跨州输电企业输电价格监管,各州公用事业管理委员会负责本辖区配电价格监管。主要定价程序包括企业提交核价申请,依法核定输电价格,定期和不定期调整输电价格和听取利益相关方意见等。
美国电力公司包括私营电力公司和非私营电力公司,其中,非私营电力公司包括联邦电力公司和地方公用电力公司和电力合作社。联邦电力公司由联邦政府所有,地方公共电力公司归地方政府所有。非私营电力公司的电价由公司管理委员会自行制定,公司管理委员会是最高领导机构,负责包括电价在内的所有管理事务。委员经政府任命或选举产生,许多委员由政府官员兼职。非私营电力公司制定电价的目标和基本原则常见于公司相关法案或章程中,可以概括为:①为公司正常运营提供必要的资金支持;②不允许以营利为目标;③制定尽可能低的电价;④反映实际供电成本的同时尽可能保持终端电价的稳定、便于理解和执行;⑤公平对待各类用户;⑥有利于节约能源和保护环境。因此,美国的非私营电力公司实际上不以盈利为目标,制定尽可能低的电价,虽然制订过程中考虑了供电成本,但其最终原则是尽可能的保持电价的稳定,美国的非私营电力公司的电力价格并没有完全真实的反映正常市场价格。
美国政府对私营电力供应商实施一系列的管制和审批。概况起来,主要包括:①能源部严格控制美国电力出口,任何人从事电力出口必须获得政府批准。②联邦能源管理委员会对州际电力的传输和批发交易进行监管,审查电力公司的某些并购和公司事务,在有限情况下审查电力传输设施的选址申请,对私人、市政和州的水力发电项目颁发许可证和进行检查,通过强制性可靠性标准保护高压州际传输系统的可靠性,预警和调查能源市场,监管与电力相关的环境事宜,通过收取罚金等手段实施管制要求等。③州监管委员会的监管内容更多,除了审批电力商品以及输电和配电服务价格外,还对供应企业的融资、债券、环境合规计划、服务地域范围、项目建造、收购新设工厂和装置等进行监管,还可以对所有供应企业的定价和操作发起调查。
联邦能源监管委员会主要通过两种方法对私营电力企业的定价进行审批。一种是基于市场的方法,另一种是传统的基于成本的方法。采用哪种方法取决于电力销售所在地区的竞争环境。如果电力企业明显不具有垄断势力或该类企业的市场势力将被减弱,联邦能源监管委员会就采用基于市场的方法。在竞争不充分且电力企业具有市场势力的区域,联邦能源监管委员会采用传统的基于成本的方法防止电力企业运用市场势力收取过高的电价。
调查机关认为,美国政府部门是监管和审批部门,其政府职能将被包含在其监管或者审批标准里予以实现,并通过电力供应商具体实施。无论是私营电力公司还是非私营电力公司,政府的职能是保证能源供应的价格消费者负担得起且安全、可靠,政府正是通过多方面监管和审批,才保证了供应商提供价格负担得起和安全、可靠的电力。在缺乏足够竞争、公司拥有市场支配力的地区,美国联邦能源管理委员会使用以成本为基础的传统方法来阻止其行使市场支配力并收取过高的电价。在评估价格提议时,美国联邦能源管理委员会必须防止公司为谋取利益而向消费者收取过高费用,同时确保公司收回其费用并有机会获得合理的资本回报率。因此,调查机关认为,美国的电力公司确定电力价格时并不能完全按照市场状况来制订,美国的电力价格不能完全反映其市场价格。
8. 上述因素造成美国国内乙烯和丙烯生产成本和价格扭曲。
申请人主张,美国生产三元乙丙橡胶的企业都属于大型化工制造企业,其成品为化工产品链的终端产品,与(石油、天然气)乙烯化工、煤化工都有一定的关联。三元乙丙橡胶的主要原材料是乙烯和丙烯,对石油、天然气、煤炭的补贴经过上游产品链诸行业传导至被调查产品,导致被调查产品生产成本偏离正常市场水平。已提交答卷的美国公司以“不清楚联邦、州或地方政府对乙烯和丙烯的任何价格管理情况”或“不清楚任何政府机构有关乙烯或丙烯的任何管理措施”为由,对问卷中的相关题目未予以明确回答,并提出乙烯和丙烯的定价由供求关系决定,但未附任何证明文件。其他美国利害关系方也未提交答卷或作出回应。
在对美国利害关系方答卷的评论意见中,申请人指出用乙烯和丙烯作为直接原材料生产三元乙丙橡胶是各国生产企业的普遍做法。传统的乙烯和丙烯生产方法是石脑油裂解,但前述美国非市场状况极大地促进了美国国内石油和天然气的生产开发,同时生成大量价格低廉的乙烷丙烷等烷类产品,美国企业开始使用乙烷丙烷等烷类产品直接生产乙烯和丙烯。涉案美国企业是重要的美国化工巨头,其石化产业链条开始于石油和天然气的直接开采。如埃克森美孚公司在网站上的介绍“本公司90%的化工产品与公司的炼油厂或天然气加工实现了一体化”。考虑到XTO公司将为美国提供巨大的非常规天然气储量,2009年12月下旬埃克森美孚公司宣布收购从事非常规天然气生产的XTO能源公司。受益于前述美国政府广泛的市场干预,涉案美国公司获得了大量且低价的乙烷丙烷等烷类产品供给,乙烷丙烷等烷类产品是美国化工企业生产乙烯和丙烯的主要原材料,该原材料成本以及电力等能耗支出在乙烯和丙烯生产成本中占据重要比例,美国政府在石油、天然气、煤炭以及电力等方面的非市场因素,造成美国国内乙烯和丙烯的生产成本和价格存在扭曲。
申请人还提供了中国国家能源局网站上发表的《页岩气推动美国相关产业蓬勃发展》。该文章更为明确地说明了美国低廉而持续增长的天然气供应,所推动的用天然气作为原料生产乙烯等产品。
经初步审查,调查机关认为,前述1-7部分的分析说明美国政府广泛的非市场干预造成了美国石油、天然气等能源产品供应量的大幅上升和价格下降,美国的煤炭和电力价格不能完全反映其市场价格。公开信息显示,埃克森美孚等美国公司使用石油和天然气生产下游化工产品。乙烯和丙烯是由石油和天然气裂解而成的主要化工原料,煤炭和电力也是生产乙烯和丙烯原材料产品时的主要能耗支出,乙烯和丙烯是本案涉案企业生产三元乙丙橡胶所普遍使用的直接原材料。而且,涉案美国公司答卷显示其乙烷丙烷等烷类成本及电力等能耗成本在乙烯和丙烯生产成本中占据重要比例。鉴于前述对美国石油、天然气、煤炭、电力等市场受到扭曲的分析认定,同时考虑到乙烷、丙烷等烷类产品成本和电力等能耗支出在乙烯和丙烯生产成本中的占比,调查机关初步认定,美国国内乙烯和丙烯的生产成本和价格存在扭曲。
9. 结论。
综上,调查机关对美国石油、天然气、煤炭、可再生能源、电力和乙烯、丙烯市场的非市场状况进行了调查。
初步调查结果显示,美国由专门的政府或公共部门通过立法和政策制订实施产业规划和战略、对石油、天然气、煤炭、可再生能源、电力等资源进行管理、控制、监管或进出口管制等,并采取提供资金支持、减免税费等激励措施,鼓励和刺激了上述行业的投资与开发,对行业的资源配置造成了干扰,影响了正常的市场供求关系和价格水平,导致美国石油、天然气、煤炭、可再生能源和电力市场存在非市场状况,产品价格受到扭曲。
乙烯和丙烯是以石油、天然气、煤炭和电力为主要原材料或燃料动力的直接下游产品,其生产成本和价格与石油、天然气、煤炭和电力的价格密切相关。在美国石油、天然气、煤炭和电力的供应数量和价格被扭曲的情况下,同时考虑到相关上游能源产品和能耗支出在乙烯、丙烯生产成本中的重要占比,以及涉案美国公司存在从石油、天然气开采到生产加工三元乙丙橡胶的一体化情况,调查机关认为,美国国内的乙烯和丙烯市场存在非市场状况。
综上,调查机关在初裁中暂认定,美国石油、天然气、可再生能源、煤炭、电力和乙烯、丙烯市场存在非市场状况。
陶氏化学公司(The Dow Chemical Company)
1. 正常价值。
调查机关初步审查了该公司被调查产品和同类产品的型号划分情况,答卷主张将被调查产品及同类产品划分成两个型号。经审查,调查机关决定在初裁中暂接受公司关于型号划分的主张。
调查机关初步审查了该公司在美国国内的销售情况。经审查,倾销调查期内,两个型号同类产品的国内销售数量占同期向中国出口被调查产品数量的比例均超过5%,符合作为确定正常价值基础的数量要求。倾销调查期内,该公司国内同类产品均直接销售给非关联客户。经审查,调查机关决定在初裁中暂依据公司全部美国国内销售作为确定正常价值的基础。
调查机关初步审查了公司提交的各型号同类产品生产成本和费用数据。
关于生产成本,公司被调查产品及同类产品的主要原材料乙烯和丙烯等为自产,公司报告了乙烯等生产成本,没有报告生产乙烯等原材料的成本或采购价格,而且某型号被调查产品及同类产品答卷表6-4乙烯等成本与公司表6-1中报告数据不一致,公司没有就此进行解释。公司答卷在表6-3中报告了被调查产品及同类产品的生产数量,该数据与表6-4一致,但与表6-2报告数据不一致;金额方面,表6-2和表6-4也不一致。此外,公司在存货收发明细表6-2中填报数据所反映的被调查产品和同类产品生产成本也与表6-4不一致。综上,调查机关认为,公司报告的成本数据不能如实准确合理反映其成本情况。
由于美国国内的乙烯等原材料存在非市场状况,其价格受到扭曲,另外陶氏化学公司答卷没有提交完整、准确的被调查产品及同类产品的原材料成本,调查机关决定在初裁中暂不采用公司答卷报告的原材料成本数据,而是根据《反倾销条例》第二十一条的规定,依据经比较可以较为准确、合理反映市场价格的原材料价格数据对原材料成本进行了调整。
关于销售、管理和财务费用情况,调查机关初步审查了答卷中的相关数据,暂决定在初裁中接受公司主张的分摊方法和数据。调查机关根据上述调查后的生产成本和费用数据,对公司同类产品在美国国内是否低于成本销售进行了测试。经审查,倾销调查期内,公司一个型号产品在美国国内低于成本销售的数量占全部内销数量的比例超过20%,一个型号全部低于成本销售。根据《反倾销条例》第四条的规定,对低于成本销售比例超过20%的型号,调查机关在初裁中暂决定以排除低于成本销售的国内销售作为确定正常价值的基础;对于全部低于成本销售的型号,调查机关暂决定按生产成本和费用加上利润的方法结构正常价值,利润率根据倾销调查期内同类产品有盈利的交易确定。
2. 出口价格。
调查机关初步审查了公司在调查期内向中国出口被调查产品的情况。倾销调查期内,公司对中国的出口有多种渠道,包括直接向非关联中国客户销售,通过位于第三国(地区)关联贸易商向非关联客户或关联最终用户销售,以及通过设立在中国的关联贸易商转售等。根据《反倾销条例》第五条的规定,确定出口价格的基础时,对于直接销售给非关联客户的,调查机关以出口价格来确定;对于通过关联贸易商转售的,调查机关暂决定采用结构出口价格的方法,以最终转售价格来确定,其中转售给关联最终用户的,以转售给非关联客户的出口价格来确定。
3. 价格调整。
根据《反倾销条例》第六条规定,为公平合理比较,调查机关对该公司影响价格可比性的调整项目逐一进行了审查。
(1)正常价值部分。
就正常价值的调整项目,经初步审查,调查机关决定在初裁中暂接受公司提出的其他折扣、回扣、退款及赔偿、从工厂到分销仓库的内陆运费、售前仓储费用、从仓库到客户的内陆运费、出厂装卸费、信用费用等。
(2)出口价格部分。
就出口价格的调整项目,经初步审查,调查机关决定在初裁中暂接受公司提出的从工厂到客户的内陆运费、售前仓储费、内陆运费、出厂装卸费、国际运输费用、国际运费保险费、出厂装卸费、信用费用和其他需要调整的项目等调整主张。对于公司通过其位于第三地的关联贸易公司转售的交易,调查机关暂根据公司提交的表6-5计算出间接费用,对出口价格进行了补充调整。对于通过中国关联贸易商转售的,调查机关决定在初裁中暂补充调整了中国关联贸易商的间接费用和利润。
4. 关于到岸价格(CIF价格)。
经初步审查,调查机关决定在初裁中暂接受该公司到岸价格数据。
埃克森美孚公司(Exxon Mobil Corporation)
1.正常价值。
调查机关初步审查了该公司被调查产品和同类产品的型号划分情况,答卷主张将被调查产品及同类产品划分成两个型号。经审查,调查机关决定在初裁中暂接受公司关于型号划分的主张。
调查机关初步审查了该公司在美国国内的销售情况。经审查,倾销调查期内,两个型号同类产品的国销售数量占同期向中国出口被调查产品数量的比例均超过5%,符合作为确定正常价值基础的数量要求。倾销调查期内,该公司国内同类产品均直接销售给非关联客户。经审查,调查机关决定在初裁中暂依据公司全部美国国内销售作为确定正常价值的基础。
调查机关初步审查了公司提交的各型号同类产品生产成本和费用数据。
关于生产成本,公司被调查产品和同类产品的主要原材料乙烯和丙烯等存在自产和外购的情况。经审查,对于自产的乙烯等,公司报告了乙烯等的生产成本,没有报告生产乙烯等原材料的成本或采购价格,而且公司在生产成本明细表6-4中填报的原材料成本,与表6-1-1和表6-1-2中填报的原材料生产和采购成本均不一致,公司没有就此进行解释。公司在存货收发明细表6-2中填报数据所反映的被调查产品和同类产品生产成本也与表6-4不一致,表6-2和表6-4均未按要求提供填报单位,造成调查机关无法获得可相互核对的原材料成本信息,无法确定生产三元乙丙橡胶的原材料生产成本情况。综上,调查机关认为,公司报告的成本数据不能如实准确合理反映其成本情况。
由于美国国内的乙烯等原材料存在非市场状况,其价格受到扭曲,另外公司答卷没有提交完整、准确的被调查产品及同类产品的原材料成本,调查机关决定在初裁中暂不采用公司答卷报告的原材料成本数据,而是根据《反倾销条例》第二十一条的规定,依据经比较可以较为准确、合理反映市场价格的原材料价格数据对原材料成本进行了调整。
关于销售、管理和财务费用情况,调查机关初步审查了答卷中的相关数据,暂决定在初裁中接受公司主张的分摊方法和数据。调查机关根据上述调查后的生产成本和费用数据,对公司同类产品在美国国内是否低于成本销售进行了测试。经审查,倾销调查期内,公司各型号同类产品在美国国内均全部低于成本销售。根据《反倾销条例》第四条的规定,调查机关暂决定按生产成本和费用加上利润的方法结构正常价值,利润率采用其他美国生产商有盈利的内销交易确定。
2.出口价格。
调查机关初步审查了公司向中国出口销售被调查产品的情况。倾销调查期内,该公司通过两种方式向中国出口被调查产品:一是公司通过位于新加坡的关联贸易商向中国非关联客户转售;二是先通过位于新加坡的关联贸易商后,再通过中国境内关联贸易商向中国非关联客户转售。
根据《反倾销条例》第五条的规定,对于第一种销售方式,调查机关暂决定采用新加坡关联贸易商与中国国内非关联客户之间的转售价格作为确定出口价格的基础;对于第二种销售方式,调查机关暂决定采用结构出口价格方法,以境内关联贸易商向中国非关联客户的转售价格作为确定出口价格的基础。
3.价格调整。
根据《反倾销条例》第六条的规定,为公平合理比较,调查机关对该公司影响价格可比性的调整项目逐一进行了审查。
(1)正常价值部分。
就正常价值的调整项目,经初步审查,调查机关决定在初裁中暂接受公司提出的数量折扣、内陆运费--工厂到分销仓库、售前仓储费用、内陆运输—工厂/仓库至客户、信用费用等调整主张。
(2)出口价格部分。
就出口价格的调整项目,经初步审查,调查机关决定在初裁中暂接受公司提出的数量折扣、内陆运费--工厂到分销仓库、售前仓储费用、内陆运输—工厂/仓库到出口港、国际运费、国际运输保险费、信用费用、报关代理费、关联贸易商间接费用、中国进口关税、中国境内关联贸易商利润等调整主张。对于公司通过其位于新加坡关联贸易商转售的交易,公司答卷并未明确指出其主张的调整间接费用来源,调查机关暂按照答卷数据重新计算调整。对于中国境内关联贸易商间接费用和利润,公司答卷并未明确指出其主张的调整数据来源,调查机关暂按照答卷数据重新计算调整。
4.关于到岸价格(CIF)。
经初步审查,调查机关决定在初裁中暂接受该公司到岸价格数据。
阿朗新科美国有限公司(ARLANXEO USA LLC)、美国狮子弹性体有限公司(Lion Copolymer Geismar,LLC)
上述两家公司报名参加调查,提供了相应材料。根据《反倾销条例》及商务部《反倾销调查抽样暂行规则》的规定,调查机关决定在初裁中暂不对其进行单独审查,采用美国陶氏化学公司和埃克森美孚公司的加权平均倾销幅度,确定其倾销幅度。
其他美国公司
2019年6月19日,调查机关对原产于美国、韩国和欧盟的进口三元乙丙发起反倾销调查。当日,调查机关通知了美国驻华大使馆,并将立案公告登载在商务部网站上,任何利害关系方均可在商务部网站上查阅本案立案公告。立案后,调查机关给予各利害关系方20 天的登记参加调查期,给予所有利害关系方合理的时间获知立案有关情况。立案后,调查机关将调查问卷登载在商务部网站上,任何利害关系方可在商务部网站上查阅并下载本案调查问卷。
调查机关尽最大能力通知了所有已知的利害关系方,也尽最大能力向所有已知利害关系方提醒不配合调查的后果。对于调查机关已尽通知义务但没有提供必要信息配合调查的公司,调查机关根据《反倾销条例》第二十一条的规定,在已经获得的事实和可获得的最佳信息的基础上裁定其倾销幅度。调查机关比较分析在调查中获得的信息,决定在初裁中暂根据美国陶氏化学公司信息确定其他美国公司的倾销幅度。
韩国公司
锦湖POLYCHEM株式会社(KUMHO POLYCHEM Co., Ltd.)
1.正常价值。
调查机关初步审查了该公司被调查产品和同类产品的型号划分情况,答卷主张不划分型号。经审查,调查机关决定在初裁中暂接受公司关于型号划分的主张。
调查机关初步审查了该公司在韩国国内的销售情况。经审查,倾销调查期内,公司同类产品的国内销售数量占同期向中国出口被调查产品数量的比例超过5%,符合作为确定正常价值基础的数量要求。倾销调查期内,该公司国内同类产品均直接销售给非关联客户。经审查,调查机关决定在初裁中暂依据公司全部韩国国内销售作为确定其正常价值的基础。
调查机关初步审查了公司提交的同类产品生产成本和费用数据。
关于生产成本,调查问卷生产成本明细表6-4要求提供生产被调查产品和同类产品的燃料及动力费用、水电费的单耗量和价格。经审查,公司电力、蒸汽和水均存在关联采购,而且公司答卷并未按问卷要求提供前述单耗量和价格。调查机关认为,公司答卷已构成未在合理时间内提供必要信息的情况,严重妨碍了调查,根据《反倾销条例》第二十一条的规定,调查机关决定暂根据其他生产商的相关数据调整该公司的生产成本。
关于销售、管理和财务费用情况,调查机关初步审查了答卷中的相关数据,暂决定在初裁中接受公司主张的分摊方法和数据。调查机关根据上述调查后的生产成本和费用数据,对公司同类产品在美国国内是否低于成本销售进行了测试。经审查,倾销调查期内公司同类产品在韩国国内低于成本销售的数量占其韩国国内全部销售数量的比例超过20%。根据《反倾销条例》第四条的规定,调查机关暂决定以排除低于成本销售的韩国国内销售作为确定正常价值的基础。
2.出口价格。
调查机关初步审查了公司向中国出口销售被调查产品的情况。倾销调查期内,该公司通过以下五种方式向中国出口被调查产品:一是公司直接出口给中国非关联客户;二是通过韩国境内的非关联贸易商出口给中国非关联客户;三是通过中国境内关联贸易商向中国非关联客户转售;四是通过中国境内关联贸易商向中国关联客户转售,中国关联客户全部用于生产下游产品;五是通过日本关联贸易商转售给日本关联公司,再由日本关联公司向中国关联客户转售,中国关联客户全部用于生产下游产品。
根据《反倾销条例》第五条的规定,对于第一种和第二种销售方式,调查机关决定暂采用公司与非关联客户之间的销售价格作为确定出口价格的基础;对于第三种销售方式,调查机关决定暂采用结构出口价格方法,以境内关联贸易商向中国非关联客户的转售价格作为确定出口价格的基础;对于第四种销售方式,经审查,调查机关决定暂接受中国境内关联贸易商答卷填报的对中国关联客户的转售价格,并以该价格作为结构出口价格的基础;对于第五种销售方式,经审查,调查机关决定暂接受日本关联公司答卷填报的对中国关联客户的转售价格,并以该价格作为确定出口价格的基础。
3.价格调整。
根据《反倾销条例》第六条的规定,为公平合理比较,调查机关对该公司及其关联贸易商等影响价格可比性的调整项目逐一进行了审查。
(1)正常价值部分。
就正常价值的调整项目,经初步审查,调查机关决定在初裁中暂接受公司提出的内陆运输—工厂/仓库至客户、包装费用、信用费用等调整主张。
(2)出口价格部分。
就出口价格的调整项目,经初步审查,调查机关决定在初裁中暂接受公司提出的内陆运输—工厂/仓库至出口港、国际运费、国际运输保险费、港口装卸费等相关费用、包装费用、信用费用、佣金、报关代理费、中国内陆运费—由港口到仓库、中国内陆运费—由港口到非关联客户、售前仓储费用、中国内陆运费—由仓库到非关联客户、中国内陆运费—由仓库到关联客户、进口报关费用、其他需要调整的项目、货币兑换、中国进口关税等调整主张。
关于出口退税,公司在答卷中主张对中国的出口交易进行出口退税调整。经初步审查,调查机关发现申请出口退税的具体进口原材料与表6-4中填报的生产被调查产品和同类产品的具体原材料并不完全一致,调查机关认为公司目前提交的证据无法证明被调查产品对中国的出口价格受到其主张的出口退税影响,因此,调查机关决定暂不接受公司的该项调整主张。
关于中国关联贸易商转售间接费用及日本关联公司转售间接费用,公司答卷并未主张进行调整,调查机关决定暂按公司答卷中填报的费用数据进行补充调整。
关于中国关联贸易商利润,公司答卷并未主张进行调整,调查机关决定暂按照其他出口商的中国关联贸易商利润率进行补充调整。
4.关于到岸价格(CIF)。
经初步审查,调查机关决定在初裁中暂接受该公司到岸价格数据。
乐天玮萨黎司弹性体有限公司(Lotte Versalis Elastomers Co.,Ltd.)
1.正常价值。
调查机关初步审查了该公司被调查产品和同类产品的型号划分情况。答卷主张将被调查产品和同类产品分为5个等级,其中包括1个等级的合格品和4个等级的不合格品。在此基础上,公司又根据产品类型、序列、等级和包装将每个等级的产品细分为若干型号,并为每一型号配一个产品编码。答卷还主张由于公司仍处于投产期,应将不能用于常规用途的不合格品排除在倾销幅度计算范围之外。
关于产品排除,经审查,调查机关认为尽管立案公告对被调查产品的主要用途作了简要描述,但并未限制被调查产品的其他用途,且不合格品只是个别指标参数超出标准区间,但其化学结构式、物理化学特性、税则号等都与立案公告中被调查产品的描述一致。因此,在初裁中,调查机关决定暂不接受公司该主张。
关于型号划分,经审查,公司不同型号的产品存在不同生产成本,但同一型号不同等级产品的生产成本相同。为公平合理比较,调查机关决定在初裁中暂接受公司按内部产品编码划分被调查产品和同类产品型号的主张。
调查机关初步审查了该公司在韩国国内的销售情况。经审查,倾销调查期内,公司向中国出口销售37个型号的被调查产品,其中8个型号同类产品的国内销售数量占同期向中国出口被调查产品数量的比例超过5%,符合作为确定正常价值基础的数量要求;29个型号同类产品的国内销售数量占同期向中国出口被调查产品数量的比例不足5%。初裁中,根据《反倾销条例》第四条的规定,对于8个符合数量要求的型号,调查机关暂决定,将与对中国出口销售型号相对应的韩国国内销售作为确定其正常价值的基础;对于其他29个型号,调查机关暂决定采用结构正常价值方法确定其正常价值。
调查机关初步审查了该公司在韩国国内销售的关联交易情况。倾销调查期内,公司向关联客户销售了1个型号的同类产品。经审查,公司未向中国出口该型号被调查产品,因此,在初裁中调查机关暂决定以公司销售给国内非关联客户的上述8个型号产品的价格作为确定正常价值的基础。
调查机关初步审查了公司提交的各型号同类产品生产成本和费用数据。
关于生产成本,公司对不同型号的产品分别记录了生产成本,但同一型号不同等级的生产成本相同。公司在答卷中填报了不区分等级的16个产品编码的成本。答卷还主张公司仍处于投产期,产量远远小于设计产能,固定成本和费用都应在考虑开工率的基础上进行分摊。经审查,调查机关决定在初裁中暂接受公司填报的成本和费用数据。
调查机关据此对该公司同类产品在韩国国内是否低于成本销售进行了测试。经审查,在倾销调查期内,该公司被调查产品同类产品2个型号在韩国国内低于成本销售的数量占其国内销售数量的比例超过20%,4个型号的比例未超20%,2个型号全部低于成本销售。根据《反倾销条例》第四条的规定,对低于成本销售比例超过20%的2个型号,调查机关决定暂以排除低于成本销售的该型号国内销售作为确定正常价值的基础;对低于成本销售比例未超20%的4个型号,调查机关决定暂以其全部国内销售作为确定各型号正常价值的基础;对于全部低于成本销售的2个型号,调查机关在初裁中暂决定采用生产成本加合理费用、利润确定其正常价值。关于结构正常价值的31个型号的利润率,调查机关决定在初裁中暂采用其他公司的利润率。
2.出口价格。
调查机关初步审查了该公司向中国出口销售被调查产品的情况。倾销调查期内,公司通过三种方式向中国出口被调查产品:一是直接向中国非关联客户销售;二是通过上海关联贸易商向中国非关联客户销售;三是通过香港非关联贸易商向中国境内非关联客户销售。根据《反倾销条例》第五条的规定,对于第一种销售方式,调查机关在初裁中暂决定采用该公司直接销售给中国非关联客户的价格作为确定出口价格的基础;对于第二种销售方式,调查机关暂决定采用上海关联贸易商与中国非关联客户之间的销售价格作为确定出口价格的基础;对于第三种销售方式,调查机关暂决定采用该公司销售给香港非关联贸易商的价格作为确定出口价格的基础。
3.价格调整。
根据《反倾销条例》第六条的规定,为公平合理比较,调查机关对该公司影响价格可比性的调整项目逐一进行了审查。
(1)正常价值部分。
就正常价值的调整项目,经初步审查,调查机关决定在初裁中暂接受公司提出的内陆运费(工厂/仓库至客户)、包装费、信用费用等调整主张。
(2)出口价格部分。
就出口价格的调整项目,经初步审查,调查机关决定在初裁中暂接受公司提出的内陆运费(工厂/仓库至出口港)、国际运输费、国际运输保险费、包装费、信用费用、报关代理费、佣金、其他需要调整的银行费用和原产地证书费等调整主张。
对于公司通过上海关联贸易公司转售的交易,调查机关决定在初裁中暂接受公司提出的内陆运费(仓库至客户)、进口海关关税、进口报关费用等调整主张。由于公司答卷未报告间接费用和利润等调整项目,调查机关在初裁中暂决定根据表6-5中的数据对关联贸易商的间接费用和利润进行补充调整。
4.关于到岸价格(CIF)。
经初步审查,调查机关决定在初裁中暂接受该公司到岸价格数据。
其他韩国公司
2019年6月19日,调查机关对原产于美国、韩国和欧盟的进口三元乙丙发起反倾销调查。当日,调查机关通知了韩国驻华大使馆,并将立案公告登载在商务部网站上,任何利害关系方均可在商务部网站上查阅本案立案公告。立案后,调查机关给予各利害关系方20 天的登记参加期,给予所有利害关系方合理的时间获知立案有关情况。立案后,调查机关将调查问卷登载在商务部网站上,任何利害关系方可在商务部网站上查阅并下载本案调查问卷。
调查机关尽最大能力通知了所有已知的利害关系方,也尽最大能力向所有已知利害关系方提醒不配合调查的后果。对于调查机关已尽通知义务但没有提供必要信息配合调查的公司,调查机关根据《反倾销条例》第二十一条的规定,在已经获得的事实和可获得的最佳信息的基础上裁定其倾销幅度。调查机关比较分析在调查中获得的信息,决定在初裁中暂根据本案申请人提供的信息确定其他韩国公司的倾销幅度。
欧盟公司
阿朗新科荷兰公司(ARLANXEO Netherlands B.V.)
1.正常价值。
调查机关初步审查了该公司被调查产品和同类产品的型号划分情况,答卷主张将被调查产品及同类产品划分成两个型号。经审查,调查机关决定在初裁中暂接受公司关于型号划分的主张。
调查机关初步审查了该公司在欧盟内的销售情况。经审查,倾销调查期内,两个型号同类产品在欧盟内销售数量占同期向中国出口被调查产品数量的比例超过5%,符合作为确定正常价值基础的数量要求。倾销调查期内,该公司欧盟内同类产品全部直接销售给非关联客户。经审查,调查机关决定在初裁中暂依据公司全部欧盟内销售作为确定正常价值的基础。
调查机关初步审查了公司提交的同类产品生产成本和费用数据。
关于生产成本,答卷主张将制造费用等固定成本全部分摊给合格品(型号1),理由是公司目的是生产合格品,而非不合格品(型号2),因此不合格品只分摊了直接材料、燃料及动力等可变成本,而直接人工、制造费用等固定成本都分摊到合格品。经审查,答卷附件提供的成本计算单显示,公司在日常生产过程中对不同牌号产品分别进行成本核算和记录,但同一牌号并未区分合格品和不合格品分别记录生产成本。调查机关认为,该成本分摊方法是公司一贯延续使用的并能合理反映与被调查产品有关的生产成本。因此,调查机关决定在初裁中暂不接受答卷主张的成本分摊方法,而是将固定成本在合格品和不合格品之间重新进行了分摊。
关于销售费用,公司按三种分摊方法分别进行填报。对于佣金、运费、许可费和其它销售调整,答卷基于实际发生进行分摊;对于内部营销费用,答卷全部分摊给合格品,理由是公司市场营销只以合格品为目的;对于其它间接销售费用则根据合格品和不合格品占国内销量的比例进行分摊。经审查,调查机关发现,对于内部营销费用,公司未按答卷要求提供所主张分摊方法的证明文件(包括但不限于董事会会议记录、内部管理文件、财务会计记录等),而且财务报告显示公司在日常生产经营过程中并未区分合格品和不合格品分别记录该费用。因此,调查机关决定在初裁中暂不接受公司主张的分摊方法,而是对合格品和不合格品重新进行分摊。对于直接销售费用和其它间接销售费用,调查机关决定在初裁中暂接受答卷报告的数据。
关于管理费用,经审查,调查机关发现公司分摊的基础数据与财务报告有差异,答卷主张财务报告未考虑销货成本和业务部门差异的收入,因此在财务报告的基础上添加销货成本和业务部门差异的收入进行分摊。调查机关认为,财务报告中的管理费用经第三方专业机构审计,因此决定在初裁中暂以财务报告中的管理费用为基础重新进行分摊。关于研发费用,答卷主张全部分摊给合格品,理由是公司只以生产合格品为目的。经审查,调查机关发现,答卷表6-5填报的数据与附件6.2.9(i)中的数据不一致,且未按答卷要求提供所主张分摊方法的证明文件(包括但不限于董事会会议记录、内部管理文件、财务会计记录等),财务报告显示公司在日常生产过程中并未区分合格品和不合格品分别记录该费用。因此,调查机关决定在初裁中暂不接受该分摊方法,而是以附件6.2.9(i)中的研发费用为基础对合格品和不合格品重新进行分摊。
关于财务费用,经审查,调查机关发现部分是公司的股权投资收益,与被调查产品的生产经营无关,因此在初裁中暂接受扣除该项的财务费用。关于其他费用,经审查,调查机关认为与被调查产品的生产经营不直接相关,因此在初裁中暂不接受该数据。此外,答卷还主张将财务及其他费用全部分摊给合格品,理由是公司只以生产合格品为目的。调查机关认为,公司未按答卷要求提供所主张分摊方法的证明文件(包括但不限于董事会会议记录、内部管理文件、财务会计记录等),而且财务报告显示公司在日常生产过程中并未区分合格品和不合格品分别记录费用。因此,调查机关决定在初裁中暂不接受该分摊方法,而是对合格品和不合格品重新进行分摊。
调查机关根据重新调整后的生产成本和三项费用对该公司两种型号的同类产品在欧盟内是否低于成本销售进行了测试。经审查,倾销调查期内公司两种型号同类产品在欧盟内低于成本销售的数量占其欧盟内全部销售数量的比例都超过20%。根据《反倾销条例》第四条的规定,调查机关在初裁中暂决定以排除低于成本销售的欧盟内销售作为确定正常价值的基础。
2.出口价格。
调查机关初步审查了该公司向中国出口销售被调查产品的情况。倾销调查期内,公司通过两种方式向中国出口被调查产品:一是直接向中国非关联客户或经销商销售;二是通过常州关联贸易商向中国非关联客户销售。根据《反倾销条例》第五条的规定,对于第一种销售方式,调查机关在初裁中暂决定采用该公司直接销售给中国非关联客户或经销商的价格作为确定出口价格的基础;对于第二种销售方式,调查机关暂决定采用常州关联贸易商与中国非关联客户之间的销售价格作为确定出口价格的基础。
3.价格调整。
根据《反倾销条例》第六条的规定,为公平合理比较,调查机关对该公司影响价格可比性的调整项目逐一进行了审查。
(1)正常价值部分。
就正常价值的调整项目,经初步审查,调查机关决定在初裁中暂接受公司提出的提前付款折扣、回扣、内陆运费(工厂到分销仓库)、售前仓储费、内陆运费(工厂/仓库至客户)、内陆保险费、信用费用、佣金、银行费用等调整主张。
(2)出口价格部分。
就出口价格调整项目,经初步审查,调查机关决定在初裁中暂接受公司提出的内陆运费(工厂到分销仓库)、售前仓储费、内陆运费(工厂/仓库至出口港)、国际运输费、国际运输保险费、港口装卸费、信用费用、佣金、银行费用等调整主张。
对于公司通过常州关联贸易公司转售的交易,调查机关决定在初裁中暂接受答卷提交的折扣、内陆运费(港口至仓库)、售前仓储费、内陆运费(仓库至客户)、内陆保险费、进口海关关税和信用费用等调整主张。
关于进口报关费用,经审查,调查机关发现公司提供的数据与附件中的证明材料不一致,因此,调查机关决定在初裁中暂根据附件中的证明材料对该费用重新进行了计算。
关于间接费用,经审查,调查机关发现答卷主张的数据包含了其他费用,因此,调查机关决定在初裁中暂根据答卷表6-5对常州关联贸易商的间接费用重新进行了计算。
关于利润,答卷主张根据表6-5中被调查产品的利润率进行调整,并列举了四家中国橡胶制品贸易公司或从事贸易业务的化工行业公司的利润率。经审查,调查机关认为公司列举的四家公司的数据都并非被调查产品同类产品的利润率,且表6-5报告的数据也远低于行业内其他公司同类产品的利润率。因此,调查机关决定在初裁中暂采用其他中国关联贸易商被调查产品的利润率进行调整。
4.关于到岸价格(CIF)。
经审查,调查机关在初裁中决定暂接受该公司报告的到岸价格数据。
埃克森美孚化工法国公司(ExxonMobil Chemical France)
1.正常价值。
调查机关初步审查了该公司被调查产品和同类产品的型号划分情况,答卷主张将被调查产品及同类产品划分成两个型号。经审查,调查机关决定在初裁中暂接受公司关于型号划分的主张。
调查机关初步审查了该公司在欧盟内的销售情况。经审查,倾销调查期内,两个型号同类产品在欧盟内销售数量占同期向中国出口被调查产品数量的比例超过5%,符合作为确定正常价值基础的数量要求。倾销调查期内,该公司向非关联客户和关联客户销售同类产品,关联销售价格与非关联销售价格存在显著异常,不能反映欧盟内正常贸易过程,据此,调查机关决定在初裁中暂依据公司欧盟内非关联销售作为确定其正常价值的基础。
调查机关初步审查了该公司提交的生产成本和费用等情况。经审查,调查机关认为答卷相关数据能够合理反映被调查产品和同类产品的情况,决定在初裁中暂予以接受。调查机关据此对该公司的同类产品在欧盟内是否低于成本销售进行了测试。经审查,倾销调查期内公司同类产品在欧盟内低于成本销售的数量占其欧盟内全部销售数量的比例超过20%。根据《反倾销条例》第四条的规定,调查机关暂决定以排除低于成本销售的欧盟内销售作为确定正常价值的基础。
2.出口价格。
调查机关初步审查了公司向中国出口销售被调查产品的情况。倾销调查期内,该公司通过以下两种方式向中国出口被调查产品:一是公司通过新加坡关联贸易商向中国非关联客户转售;二是先通过新加坡关联贸易商后,再通过中国境内关联贸易商向中国非关联客户转售。
根据《反倾销条例》第五条的规定,对于第一种销售方式,调查机关暂决定采用新加坡关联贸易商与中国国内非关联客户之间的转售价格作为确定出口价格的基础;对于第二种销售方式,调查机关暂决定采用结构出口价格方法,以境内关联贸易商向中国非关联客户的转售价格作为确定出口价格的基础。
3.价格调整。
根据《反倾销条例》第六条的规定,为公平合理比较,调查机关对该公司及其关联贸易商影响价格可比性的调整项目逐一进行了审查。
(1)正常价值部分。
就正常价值的调整项目,经初步审查,调查机关决定在初裁中暂接受公司提出的数量折扣、内陆运费--工厂到分销仓库、售前仓储费用、内陆运输—工厂/仓库至客户、信用费用等调整主张。
(2)出口价格部分。
就出口价格的调整项目,经初步审查,调查机关决定在初裁中暂接受公司提出的数量折扣、内陆运费—工厂到分销仓库、售前仓储费用、内陆运输—工厂/仓库到出口港、国际运费、国际运输保险费、信用费用、报关代理费、关联贸易商间接费用、中国进口关税、中国境内关联贸易商利润等调整主张。
对于公司通过其位于新加坡关联贸易商转售的交易,公司答卷并未明确指出其主张的调整间接费用来源,调查机关暂按照答卷数据重新计算调整。对于中国境内关联贸易商间接费用和利润,公司答卷并未明确指出其主张的调整数据来源,调查机关暂按照答卷数据重新计算调整。
4.关于到岸价格(CIF)。
经初步审查,调查机关决定在初裁中暂接受该公司到岸价格数据。
意大利玮萨黎司有限公司(Versalis S.p.A.)
该公司报名参加调查并提供了相应材料。根据《反倾销条例》及商务部《反倾销调查抽样暂行规则》的规定,调查机关决定在初裁中暂不对其进行单独审查,采用阿朗新科荷兰有限公司和埃克森美孚化工法国公司的加权平均倾销幅度,确定其倾销幅度。
其他欧盟公司(All Others)
2019年6月19日,调查机关对原产于美国、韩国和欧盟的进口三元乙丙橡胶发起反倾销调查。当日,调查机关通知了欧盟驻华代表团,并将立案公告登载在商务部网站上,任何利害关系方均可在商务部网站上查阅本案立案公告。立案后,调查机关给予各利害关系方20 天的登记参加调查期,给予所有利害关系方合理的时间获知立案有关情况。立案后,调查机关将调查问卷登载在商务部网站上,任何利害关系方可在商务部网站上查阅并下载本案调查问卷。
调查机关尽最大能力通知了所有已知的利害关系方,也尽最大能力向所有已知利害关系方提醒不配合调查的后果。对于调查机关已尽通知义务但没有提供必要信息配合调查的公司,调查机关根据《反倾销条例》二十一条的规定,在已经获得的事实和可获得的最佳信息的基础上裁定其倾销幅度。调查机关比较分析在调查中获得的信息,决定在初裁中暂根据本案申请人提供的信息确定其他欧盟公司的倾销幅度。
(二)价格比较
根据《反倾销条例》第六条的规定,调查机关在考虑了影响价格的各种可比性因素的基础上,按照公平、合理的方式,将正常价值和出口价格调整至出厂水平进行比较。在计算倾销幅度时,调查机关将加权平均正常价值和加权平均出口价格进行了比较,得出倾销幅度。
(三)倾销幅度
经计算,各公司初步裁定的倾销幅度分别为:
美国公司
1. 陶氏化学公司 222.0%
(The Dow Chemical Company)
2. 埃克森美孚公司 214.9%
(Exxon Mobil Corporation)
3. 阿朗新科美国有限公司 219.8%
(ARLANXEO USA LLC)
4. 美国狮子弹性体有限公司 219.8%
(Lion Copolymer Geismar,LLC)
5. 其他美国公司 222.0%
(All Others)
韩国公司
1. 锦湖POLYCHEM株式会社 12.5%
(KUMHO POLYCHEM Co.,Ltd.)
2. 乐天玮萨黎司弹性体有限公司 21.1%
(Lotte Versalis Elastomers Co.,Ltd.)
3. 其他韩国公司 24.5%
(All Others)
欧盟公司
1. 阿朗新科荷兰有限公司 18.1%
(ARLANXEO Netherlands B.V.)
2. 埃克森美孚化工法国公司 14.7%
(ExxonMobil Chemical France (ExxonMobil Chemical France Société par Actions Simplifiée))
3. 意大利玮萨黎司有限公司 16.5%
(Versalis S.p.A.)
4. 其他欧盟公司 31.7%
(All Others)
四、国内同类产品、国内产业
(一)国内同类产品认定。
《反倾销条例》第十二条规定,同类产品是与倾销进口产品相同的产品,或与倾销进口产品特性最相似的产品。
调查机关对国内生产的三元乙丙橡胶与被调查产品的物化特性、原材料和生产工艺、产品用途、销售渠道、客户群体和消费者评价等因素进行了调查:
1.物理特征和化学性能。
经初步审查,国内生产的三元乙丙橡胶与被调查产品物理化学特性相同,均是乙烯、丙烯以及非共轭二烯烃的三元共聚物,常温下外观为白色或者微黄色固体,易于混合。
因此,调查机关初步认定,国内生产的三元乙丙橡胶与被调查产品的物理特征和化学性能基本相同。
2.原材料和生产工艺。
国内生产的三元乙丙橡胶与被调查产品主要原材料相同,均为乙烯、丙烯以及非共轭二烯烃。三元乙丙橡胶工业化生产工艺路线主要有溶液聚合法、悬浮聚合法和气相聚合法三种。目前国内外大多数生产厂家都采用溶液聚合法,只有意大利玮萨黎司公司和阿朗新科美国公司采用悬浮聚合工艺生产三元乙丙橡胶。
因此,调查机关初步认定,国内生产的三元乙丙橡胶与被调查产品所使用的原材料相同,生产工艺基本相同或相似。
3.产品用途。
国内生产的三元乙丙橡胶与被调查产品均可用于建筑、电线电缆、汽车工业、交通等领域。建筑方面,主要用于屋顶单层防水卷材等;电线电缆方面,主要用于民用和商用建筑的电力输入线、建筑机械用电缆、矿用电缆、核电站用电缆、汽车点火线、控制及信号电缆等;汽车工业方面,主要用于汽车、卡车和公共汽车非轮胎部件,包括汽车的水箱及耐热胶管、密封条、橡胶带、车身及底盘的部件、挡雨条、底板和环管等;交通方面主要应用于车辆车门窗密封条、减震、止水带等。
因此,调查机关初步认定,国内生产的三元乙丙橡胶与被调查产品的用途基本相同。
4.销售渠道、客户群体和消费者评价。
国内生产的三元乙丙橡胶与被调查产品均主要通过直接销售和中间商销售的方式在中国市场进行销售。国内生产的三元乙丙橡胶和被调查产品的销售地域也基本相同,二者的国内客户群体基本相同,某些下游用户既购买或使用被调查产品,同时也购买或使用国内生产的三元乙丙橡胶产品,二者在国内市场上存在竞争。
综上,调查机关初步认定,国内生产的三元乙丙橡胶与被调查产品在物理特征和化学性能、原材料和生产工艺、产品用途、销售渠道、客户群体和消费者评价方面基本相同,具有相似性和替代性,国内生产的三元乙丙橡胶与被调查产品属于同类产品。
(二)国内产业认定。
本案申请人为中国石油天然气股份有限公司吉林石化分公司和上海中石化三井弹性体有限公司,向调查机关提交国内生产者调查问卷答卷的企业也只有上述两家公司。调查机关认为披露申请人合计产量占国内同类产品总产量的比例,将造成两家申请企业相互知悉对方产量,可能对申请企业产生不利影响。因此,调查机关决定对申请人产量占国内同类产品总产量的比例数据采用区间方式进行保密处理,其真实数据可能位于调查机关所公布区间的任一水平。
根据《反倾销条例》第十一条关于国内产业认定的规定,调查机关对本案国内产业进行了审查和认定。在本案中,申请人向调查机关提交了国内生产者调查问卷答卷。调查机关经调查核实,提交答卷的国内生产者2015年、2016年、2017年以及2018年的产量占国内同类产品总产量的比例分别为50-55%、40-45%、65-70%和50-55%,占国内产业的主要部分,符合《反倾销条例》第十一条关于国内产业认定的规定。
综上,调查机关初步认定,提交答卷的国内生产者占国内产业的主要部分,可以代表国内产业,其数据可以作为损害和因果关系分析的基础。本裁决所依据的国内产业数据,除特别说明外,均来自上述国内生产者。
五、产业损害及损害程度
(一)累积评估。
根据《反倾销条例》第九条的规定,调查机关考虑了原产于美国、韩国和欧盟的进口三元乙丙橡胶对国内产业造成的影响进行累积评估的适当性。
1.倾销幅度不属于微量。
倾销调查期内,来自美国、韩国和欧盟的进口三元乙丙橡胶均存在倾销,倾销幅度均在2%以上,不属于微量的倾销幅度。
2.进口数量不属于可忽略不计。
根据中国海关统计数据,来自美国、韩国和欧盟的进口三元乙丙橡胶数量占中国总进口数量的比例均超过3%,不属于可忽略不计的范围。
3.被调查产品之间的竞争条件。
调查显示,来自美国、韩国和欧盟的进口三元乙丙橡胶在物化特性、原材料和生产工艺、产品用途、销售渠道和客户群体等方面基本相同;美国、韩国和欧盟企业均通过直接销售或中间商销售等方式在中国市场销售三元乙丙橡胶产品,占有相应的市场份额;各生产商或销售商均根据中国市场状况或条件,与客户协商确定销售价格,具有相同或类似的定价策略;被调查产品拥有相同的客户群体,下游企业可以自由采购和使用被调查产品。来自美国、韩国和欧盟的进口三元乙丙橡胶之间存在直接竞争关系。
4.被调查产品与国内同类产品之间的竞争条件。
调查显示,被调查产品和国内同类产品在物化特性、原材料和生产工艺、产品用途、销售渠道和客户群体等方面基本相同;被调查产品和国内同类产品均通过直接销售、中间商转售等方式在中国市场销售,占有相应的市场份额;各生产商或销售商均根据中国市场状况或条件,与客户协商确定销售价格,具有相同或类似的定价策略;被调查产品和国内同类产品拥有相同的客户群体,下游企业可以自由采购和使用被调查产品和国内同类产品。被调查产品和国内同类产品之间存在直接竞争关系。
综上,调查机关初步认定,对原产于美国、韩国和欧盟的进口三元乙丙橡胶对国内产业造成的影响进行累积评估是适当的。
(二)倾销进口产品数量及所占市场份额。
调查机关对倾销进口产品的绝对数量和相对于中国生产或消费的数量是否大量增加进行了调查。
1. 倾销进口产品数量。
调查显示,根据中华人民共和国海关统计数据,2015年、2016年、2017年和2018年,倾销进口产品进口数量分别为17.25万吨、16.50万吨、16.10吨和18.46万吨。其中,2016年比2015年减少4.36%,2017年比2016年减少2.42%,2018年比2017年增加14.64%。损害调查期内,倾销进口产品的绝对数量呈先降后升趋势,调查期末有较大幅度的增长,增幅达14.64%,调查期末的进口数量超过调查期初的水平,2018年较2015年的进口数量增加6.99%。因此,调查机关初步认定,损害调查期内,倾销进口产品的绝对数量大量增加。
2. 倾销进口产品所占国内市场份额。
2015年、2016年、2017年和2018年,倾销进口产品占国内市场的份额分别为57.73%、49.59%、46.02%和44.80%。损害调查期内,倾销进口产品所占国内市场份额虽总体呈下降趋势,但均保持在40%以上,一直处于较高水平。
(二)倾销进口产品对国内产业同类产品价格的影响。
调查机关就倾销进口产品对国内产业同类产品价格的影响进行了调查。
1.倾销进口价格和国内产业同类产品价格。
进行价格比较时,为确保两者具有可比性,应在同一贸易水平上对倾销进口价格和国内产业同类产品价格进行比较。调查机关初步认定,倾销进口产品国内进口清关价格和国内产业同类产品出厂价格基本属于同一贸易水平,二者均不包含增值税、内陆运输费用、保险费用和次级销售渠道费用等。调查机关在中国海关提供的被调查产品CIF价格的基础上,进一步考虑了损害调查期内汇率、关税税率和国内进口商的清关费用,对被调查产品进口价格进行了调整,将调整后的被调查产品进口价格作为倾销进口价格。其中,汇率根据中国人民银行公布的当年各月度平均汇率算术平均得出,自美国、欧盟进口三元乙丙橡胶的关税税率为7.5%,根据中韩自由贸易协定确定的协定税率,2015年至2018年自韩国进口三元乙丙橡胶的关税税率分别为7%、6.5%、6%和5.5%。关于进口清关费用,申请人提交了国内两家报关公司的清关费用和证据材料,两家公司的清关费用平均为205-295元/吨。调查机关决定在初裁中暂以申请人提交的清关费用平均值作为计算进口港清关费用的依据。
按照上述调整方法,调查期内,调整后的倾销进口产品加权平均价格2015年为16982.27元/吨,2016年为14313.82元/吨,2017年为14741.15元/吨,2018年为15226.16元/吨。其中,2016年比2015年下降15.71%,2017年比2016年增长2.99%,2018年比2017年增长3.29%。损害调查期内,倾销进口产品价格先降后升,2016年较2015年大幅下降15.71%,2016年至2018年价格虽有小幅增长,但总体仍然呈下降趋势。
调查机关在对《国内生产者调查问卷》答卷汇总的基础上,以国内产业同类产品出厂价格的加权平均价格作为国内产业同类产品价格。由于向调查机关提交国内生产者调查问卷答卷的企业只有两家申请人企业。调查机关认为披露国内产业同类产品销售价格,将造成两家申请企业相互知悉对方商业秘密,可能对申请企业产生不利影响。因此,调查机关决定对国内产业同类产品价格以及国内产业同类产品与倾销进口产品的价格差采用区间方式进行保密处理,其真实数据可能位于调查机关所公布区间的任一水平。
调查期内,国内产业同类产品价格位于10000元/吨至15000元/吨之间。2016年比2015年下降5-10%,2017年比2016年上升5-10%,2018年比2017年上升10-15%。损害调查期内,国内产业同类产品销售价格呈先降再升趋势。
损害调查期内,倾销进口产品价格总体高于国内产业同类产品价格,但二者变化趋势相同,均呈先降后升趋势,倾销进口价格下降趋势更明显。2015年至2018年,国内产业同类产品与倾销进口产品价格差分别为4000-4500元/吨、3000-3500元/吨、2500-3000元/吨和500-1000元/吨,二者价格差呈持续缩减趋势。
2.倾销进口产品对国内产业同类产品价格影响。
调查机关对倾销进口产品的进口情况、国内产业同类产品价格的变化以及两者的关系进行了考虑。
根据各利害关系方提交的调查问卷答卷,国内生产的三元乙丙橡胶与被调查产品在物理特征和化学性能、原材料和生产工艺、产品用途、销售渠道、客户群体和消费者评价方面基本相同,具有相似性和替代性,属于同类产品。国内三元乙丙橡胶消费市场是一个竞争开放的市场,国内同类产品与倾销进口产品在质量和性能上都能够满足下游客户的使用要求,二者可以相互替代,倾销进口产品与国内同类产品之间存在直接的竞争关系。根据国内产业答卷和进口商答卷,倾销进口产品和国内同类产品的下游用户存在交叉与重叠,同一下游用户既采购倾销进口产品,也同时采购国内同类产品。在此情况下,价格是影响产品销售的重要因素。
损害调查期内,倾销进口产品数量优势明显,市场地位显著。倾销进口产品数量呈先降后升趋势,调查期末有较大幅度的增长,调查期末的进口数量超过调查期初的水平。同时,各年度倾销进口产品进口数量均高于国内产业同类产品销量。调查期初倾销进口产品占中国市场的份额达57%以上,调查期内虽有所下降,但调查期末倾销进口产品所占的市场份额仍超过44%,远高于国内产业同类产品所占的市场份额。损害调查期内,国内产业同类产品价格与倾销进口产品均呈先降后升趋势,价格变化趋势基本一致,倾销进口价格下降幅度更显著且总体呈下降趋势,二者价格差逐年缩减。综合考虑上述倾销进口产品数量和价格因素,调查机关初步认定,倾销进口产品对国内产业同类产品的价格产生影响。
2015年至2017年,倾销进口产品与国内产业同类产品价格均呈总体下降趋势,二者价格差由4000-4500元/吨缩减至500-1000元/吨。倾销进口产品在已经占据市场优势地位的情况下仍较大幅降低价格,国内产业同类产品被迫相应调低价格获得生存空间。国内三元乙丙橡胶消费市场是一个竞争开放的市场,倾销进口产品与国内同类产品在市场上直接竞争。国内产业向调查机关提供的证据显示,其下游用户在向其询价购买产品时,经常附上当期倾销进口产品的价格,并要求国内产业提供更低的价格。国内产业为了维持基本的生产经营,必须在市场上销售同类产品,面对进口被调查产品不断降低的价格,也不得不跟随降低同类产品的销售价格。受倾销进口产品价格的影响,国内产业在价格长期低于产品成本且严重亏损的情况下,价格始终无法回归合理水平。
综合考虑以上因素,调查机关初步认定,2015年至2017年,倾销进口产品对国内产业同类产品价格产生了明显压低作用。
2018年,三元乙丙橡胶国内需求量大幅增长17.75%,国内产业同类产品与倾销进口产品的价格均有一定程度的上涨。同时,三元乙丙橡胶的主要原材料乙烯和丙烯价格也有明显上涨,国内产业同类产品单位生产成本和单位销售成本均有所增加。2018年,国内产业同类产品价格虽然实现一定幅度的增长,但销售价格仍低于单位生产成本,而且成本倒挂严重。2018年,倾销进口产品进口数量大量增加,倾销进口产品与国内产业同类产品的价格差进一步缩减至500-1000元/吨。受此影响,在国内需求量大幅增长和生产、销售成本上涨的情况下,国内产业同类产品不得不仍以低于成本的价格销售,价格未能增长到正常合理的水平,国内产业仍处于严重亏损状态。综合考虑上述因素,调查机关初步认定,2018年,倾销进口产品对国内产业同类产品价格产生了明显的抑制作用。
(三)损害调查期内国内产业状况。
本案申请人为中国石油天然气股份有限公司吉林石化分公司和上海中石化三井弹性体有限公司。调查机关认为披露申请人的相关经济指标的绝对数据和变化幅度将造成两家申请企业相互知悉对方的商业秘密,可能对申请企业产生不利影响。因此,调查机关决定对国内产业相关数据进行保密处理。调查机关对国内产业相关数据采用区间方式进行披露,其真实数据可能位于调查机关所公布区间的任一水平。
根据《反倾销条例》第七条、第八条的规定,调查机关对国内产业的相关经济因素和指标进行了调查(数据见附表),证据显示:
1.国内需求量。
2015年至2018年,国内三元乙丙橡胶需求量分别为29.88万吨、33.28万吨、34.99万吨和41.20万吨。2016年、2017年、2018年与上年相比分别增长11.35%、5.14%和17.75%。损害调查期内,国内三元乙丙橡胶需求量呈持续增长趋势。
2.产能。
2015年至2018年,国内产业同类产品产能均为15-20万吨。损害调查期内,国内产业同类产品产能保持不变。
3.产量。
2015年至2018年,国内产业同类产品产量分别为5-5.5万吨、6-6.5万吨、9.5-10万吨和9.5-10万吨。2016年比2015年增长5-10%,2017年比2016年增长65-70%,2018年比2017年下降1-5%。损害调查期内,国内产业同类产品产量先升后降,总体呈增长趋势。
4.国内销售量。
2015年至2018年,国内产业同类产品国内销售量分别为4.5-5万吨、6.5-7万吨、9-10万吨和10-15万吨。2016年比2015年增长45-50%,2017年比2016年增长35-40%,2018年比2017年增长10-15%。损害调查期内,国内产业同类产品国内销售量持续增长。
5.市场份额。
2015年至2018年,国内产业同类产品市场份额分别为15-20%、20-25%、25-30%和20-25%。2016年比2015年增长1-5个百分点,2017年比2016年增长5-10个百分点,2018年比2017年下降1-5个百分点。损害调查期内,国内产业同类产品市场份额先升后降,总体呈增长趋势。
6.销售价格。
2015年至2018年,国内产业同类产品销售价格位于为10000元/吨和15000元/吨之间。2016年比2015年下降5-10%,2017年比2016年上升5-10%,2018年比2017年上升10-15%。损害调查期内,国内产业同类产品销售价格呈先降再升趋势。
7.销售收入。
2015年至2018年,国内产业同类产品销售收入分别为5-10亿元、5-10亿元、10-15亿元和10-15亿元。2016年比2015年增加10-50%,2017年比2016年增加10-50%,2018年比2017年增加10-50%。损害调查期内,国内产业同类产品销售价格呈持续增加趋势。
8.税前利润。
2015年至2018年,国内产业同类产品税前利润分别为(-4)-(-3)亿元、(-5)-(-4)亿元、(-4)-(-3)亿元和(-3)-(-2)亿元。2016年比2015年亏损增加1-2亿元,2017年比2016年亏损减少1-2亿元,2018年比2017年亏损减少0-1亿元。损害调查期内,国内产业同类产品税前利润始终为负数。
9.投资收益率。
2015年至2018年,国内产业同类产品投资收益率分别为(-15%)-(-10%)、(-20%)-(-15%)、(-15%)-(-10%)和(-15%)-(-10%)。2016年比2015年下降5-10个百分点,2017年比2016年提高1-5个百分点,2018年比2017年提高1-5个百分点。损害调查期内,国内产业同类产品投资收益率始终为负值。
10.开工率。
2015年至2018年,国内产业同类产品开工率分别为30-35%、35-40%、60-65%和60-65%。2016年比2015年增加1-5个百分点,2017年比2016年增加20-25个百分点,2018年比2017年减少1-5个百分点。损害调查期内,国内产业同类产品开工率先升后降,总体呈上升趋势。
11.就业人数。
2015年至2018年,国内产业同类产品就业人数分别为400-450人、400-450人、350-400人和350-400人。2016年比2015年减少1-5%,2017年比2016年减少5-10%,2018年比2017年减少5-10%。损害调查期内,国内产业同类产品就业人数持续减少。
12.劳动生产率。
2015年至2018年,国内产业同类产品劳动生产率分别为100-150吨/年/人、100-150吨/年/人、250-300吨/年/人和250-300吨/年/人。2016年比2015年提高10-15%, 2017年比2016年提高80-85%,2018年比2017年提高1-5%。损害调查期内,国内产业同类产品劳动生产率呈上升趋势。
13.人均工资。
2015年至2018年,国内产业同类产品人均工资为10-15万元/年/人。2016年比2015年减少1-5%,2017年比2016年增长10-15%,2018年比2017年增长10-15%。损害调查期内,国内产业同类产品人均工资先降再升,总体呈增长趋势。
14.期末库存。
2015年至2018年,国内产业同类产品期末库存分别为20000-50000吨、10000-15000吨、15000-20000吨和10000-15000吨。2016年比2015年减少35-40%,2017年比2016年增加45-50%,2018年比2017年减少25-30%。损害调查期内,国内产业同类产品期末库存总体呈减少趋势。
15.经营活动现金净流量。
2015年至2018年,国内产业同类产品经营活动现金流净额分别为(-10) - (-5) 亿元、(-10) - (-5) 亿元、(-10) - (-5) 亿元和(-5) - (-1) 亿元。损害调查期内,国内产业同类产品经营活动现金流净额均为净流出。其中,2016年比2015年流出额减少0-1亿元,2017年比2016年流出额减少0-1亿元,2018年比2017年流出额减少4-5亿元。
16.投融资能力。
损害调查期内,没有证据显示国内产业同类产品投融资能力受到被调查产品进口的不利影响。
调查机关对倾销进口产品的倾销幅度也进行了审查,证据显示倾销进口产品的倾销幅度为12.5%-222.0%,不属于微量倾销,足以对国内市场价格造成不利影响。
上述国内产业指标显示,损害调查期内,国内三元乙丙橡胶需求量呈持续增长趋势,国内产业同类产品产能一直保持不变,产量先升后降呈总体增长趋势,开工率总体有一定幅度增长,但长期低位运行,国内销售量呈持续增长趋势,所占市场份额先升后降呈总体增长趋势,期末库存先降后升再降,总体有所减少,人均工资先降后升但与倾销进口产品相比总体有所增长。国内销售价格呈现先降后升的不稳定趋势,国内销售收入先降后升总体大幅下降,税前利润、投资收益率、经营活动现金流净额等指标始终为负,就业人数持续减少,国内产业处于长期巨额亏损状态。综合考虑上述事实,调查机关初步认定,国内产业受到实质损害。
六、因果关系
根据《反倾销条例》第二十四条,调查机关审查了原产于美国、韩国和欧盟的倾销进口三元乙丙橡胶与国内产业受到实质损害之间是否存在因果关系,同时审查了除倾销进口产品的影响之外,已知的可能对国内产业造成损害的其他因素。根据上述调查结果,调查机关初步裁定,原产于美国、韩国和欧盟的进口三元乙丙橡胶存在倾销,国内三元乙丙橡胶产业受到了实质损害,且倾销与实质损害之间存在因果关系。
(一)倾销进口产品造成了国内产业的实质损害。
根据中华人民共和国海关统计数据,2015年至2018年,倾销进口产品进口数量分别为172516.09吨、165000.32吨、161007.62吨和184579.32吨。倾销进口产品的进口数量呈先降后升趋势,调查期末2018年的进口数量较上年增加14.64%,较期初2015年的进口数量增加6.99%。
经调查,调查机关认为,损害调查期内,国内三元乙丙橡胶消费市场是一个竞争开放的市场,倾销进口产品与国内产业同类产品之间存在直接竞争关系,价格是影响销售的主要因素。损害调查期内,倾销进口产品相较于国内产业同类产品,具有明显的数量优势,居于市场主导地位,而国内产业同类产品则处于市场次要地位。倾销进口产品在市场上占具数量主导地位的同时,在市场定价方面也起到主导作用。由于国内产业同类产品所占市场份额较小,价格上实际处于被动跟随倾销进口产品定价的状态。倾销进口产品对国内产业同类产品价格产生了压低和抑制作用。倾销进口产品对国内产业造成的影响是其数量和价格共同作用的结果。
受上述因素影响,损害调查期内,在国内市场需求大幅增长的情况下,国内产业同类产品产能一直没有增加,开工率一直不足且长期处于低位,产量虽有较为明显的增加,但调查期末2018年的产量同比出现下降。国内销售量和市场份额增幅较大,但与倾销进口产品相比,仍处于次要地位。由于倾销进口产品对国内产业同类产品价格产生了压低和抑制作用,国内产业同类产品价格无法反映正常成本和合理利润,导致国内销售收入的增幅明显低于销售量的增幅,2016年国内销售收入甚至出现大幅下降,降幅达86.91%,此后销售收入虽有所增长,但仍远低于调查期初的数额。由于销售收入呈总体下降趋势,税前利润、投资收益率和经营活动现金流净额等经营性指标始终为负,就业人数持续减少,以致国内产业长期处于巨额亏损状态,难以收回投资,面临巨大的经营压力,受到了实质损害。
综上,调查机关初步认定,损害调查期内,倾销进口产品的大量、倾销进口压低和抑制了国内产业同类产品的销售价格,导致国内产业一系列经营指标恶化且始终处于亏损状态,造成了国内产业的实质损害。
相关利害关系方评论意见:
美国政府认为,申请人的损害主张存在若干不足之处。调查期内的大多数时间被调查产品的进口量都在减少,国内产业同类产品抢占了进口产品部分市场份额。调查期内,国内产业同类产品价格一直高于被调查产品价格,2015年至2018年间,国内产业同类产品价格上涨13.5%,不存在被调查产品压低国内产业同类产品价格的情况。
陶氏化学公司认为,调查期内,国内三元乙丙橡胶产业并未因被调查产品而遭受实质损害或损害威胁,被调查产品与国内三元乙丙橡胶产业遭受的损害或损害威胁之间不存在因果关系。被调查产品进口数量2015年至2017年一直呈下降趋势,仅在2018年有小幅上升,调查期内被调查产品所占市场份额呈持续下降趋势。2015年至2018年,被调查产品价格一直高于国内产业同类产品价格,二者变化趋势不一致,国内产业同类产品价格较被调查产品价格呈现更快的攀升趋势,因此被调查产品未对国内产业同类产品价格产生抑制作用。国内三元乙丙橡胶产业大部分经济指标呈良好增长趋势,产业发展稳健,无法支持申请人的损害主张,部分欠佳的经济指标是由于国内三元乙丙橡胶产业产能扩张、个别申请企业经营不善所致。
调查机关的分析与认定:
调查机关在审查倾销进口产品数量时,注意到倾销进口产品数量2015年至2017年呈下降趋势,2018年恢复增长且数量超过2015年的水平;调查期内,倾销进口产品占国内市场份额呈持续下降趋势,由2015年的57.73%降至2018年的44.80%。
调查机关认为,考察认定被倾销进口产品数量因素的影响时,要根据倾销进口产品在整个调查期内数量总体变化情况作出判断,并不要求倾销进口产品数量在调查期内任一时间段均呈单一增长趋势,部分时间段内倾销进口产品的数量的变化并不必然影响倾销进口产品数量的总体变化趋势。本案中,倾销进口产品数量先小幅下降再大幅增加,且调查期末的数量超过期初的水平,调查机关对倾销进口产品数量的考察认定符合《反倾销条例》的规定。
调查机关在审查倾销进口产品价格及价格影响认定时,注意到倾销进口产品价格一直高于同期国内产业同类产品价格的情况。调查机关认为,考察认定倾销进口产品对国内同类产品价格产生的影响时,应综合考察调查期内二者价格水平、变化趋势、相互关系及影响机制等,调查期内不同时间段倾销进口产品对国内同类产品价格产生的影响可能存在不同形式,即倾销进口产品的价格削减或对国内同类产品的价格产生大幅压低、抑制。
调查期内,倾销进口产品价格先降后升、总体呈下降趋势,国内产业同类产品先降后升、总体呈上升趋势。2015年至2016年,倾销进口产品价格大幅下降15.71%,国内产业同类产品价格下降5-10%;2017年,倾销进口产品价格小幅回升2.99%,国内产业同类产品价格也呈5-10%的小幅增长。2015年至2017年,倾销进口产品与国内产业同类产品价格变化趋势基本一致,均呈先降后升、总体下降趋势,倾销进口产品价格降幅较国内产业同类产品更大。倾销进口产品在占据市场优势地位的情况下较大幅降低价格,国内产业同类产品为保证生存空间,只得相应调低价格。综合考虑以上因素,调查机关初步认定,2015年至2017年,倾销进口产品对国内产业同类产品价格产生了明显压低作用。2018年,国内三元乙丙橡胶主要原料乙烯、丙烯等价格出现较大幅度上涨,倾销进口产品与国内产业同类产品价格均有所增长,但由于倾销进口产品价格增幅较低,国内产业同类产品处于被动跟随倾销进口产品定价的状况,无法通过提高销售价格消化成本的增加。综合考虑上述因素,调查机关初步认定,2018年,倾销进口产品价格对国内产业同类产品价格产生了明显的抑制作用。
调查机关对本案国内产业同类产品相关经济因素和指标进行了全面综合考察。调查机关认为,审查倾销进口产品对国内产业的影响,应当评估所有经济因素和指标,并在此基础上对调查期内国内产业的状况及是否受到实质损耗或损害威胁作出判断。调查期内虽然部分国内产业经济指标趋好,但国内产业长期处于亏损状态。调查机关在综合考虑了国内产业所有经济因素和指标的基础上,认定调查期内国内产业受到实质损害。
陶氏化学公司关于个别申请企业经营存在问题的主张,提供的证据过于宏观和笼统,且与调查期不重合,不能否定倾销进口产品与国内产业受到实质损害之间的因果关系。
(二)其他已知因素分析。
调查机关对除倾销进口产品以外的,可能使国内产业受到实质损害的其他已知因素进行了审查。
未有证据显示,未以倾销价格销售的进口产品的数量和价格、需求的减少或消费模式的变化,外国与国内生产者的限制贸易的做法及它们之间的竞争、技术发展以及国内产业生产率等因素,与国内三元乙丙橡胶产业受到实质损害之间存在因果关系。
相关利害关系方评论意见:
美国政府认为,调查期内国内产业几乎所有绩效指标都有所提升,申请人未提供关于进口产品对国内产业产生重大不利影响的证明。
陶氏化学公司认为,调查期内,国内三元乙丙橡胶产业并未因被调查产品而遭受实质损害或损害威胁。被调查产品进口数量2015年至2017年一直呈下降趋势,仅在2018年有小幅上升,调查期内被调查产品所占市场份额呈持续下降趋势。2015年至2018年,被调查产品价格一直高于国内产业同类产品价格,二者变化趋势不一致,国内产业同类产品价格较被调查产品价格呈现更快的攀升趋势,因此被调查产品未对国内产业同类产品价格产生抑制作用。国内三元乙丙橡胶产业大部分经济指标呈良好增长趋势,产业发展稳健,无法支持申请人的损害主张。
调查机关的分析与认定:
调查机关在前文中已对倾销进口产品对国内产业同类产品的价格影响作出认定。调查机关认为,分析国内产业是否因倾销进口产品而遭受实质损害或损害威胁状况,应综合综合考察国内产业各项经济指标,一个或多个指标不能起到决定性作用。损害调查期内,三元乙丙橡胶市场需求不断增长,而国内产业同类产品产能却未有增加,且税前利润、投资收益率持续为负,经营活动现金流一直处于净流出状态,国内产业同类产品长期亏损。
综上,陶氏化学公司关于国内产业发展稳健的主张不能成立。
七、初步调查结论
根据上述调查结果,调查机关初步裁定,原产于美国、韩国和欧盟的进口三元乙丙橡胶存在倾销,国内三元乙丙橡胶产业受到了实质损害,且倾销与实质损害之间存在因果关系。
附:三元乙丙橡胶反倾销案数据表
附
三元乙丙橡胶反倾销案数据表
|
项 目 |
2015年 |
2016年 |
2017年 |
2018年 |
|
全国总产量(吨) |
100,000 |
145,000 |
151,400 |
191,000 |
|
变化率 |
- |
45.00% |
4.41% |
26.16% |
|
全国总需求量(吨) |
298,844.58 |
332,759.90 |
349,879.52 |
411,988.68 |
|
变化率 |
- |
11.35% |
5.14% |
17.75% |
|
被调查产品进口量(吨) |
172,516.09 |
165,000.32 |
161,007.62 |
184,579.32 |
|
变化率 |
- |
-4.36% |
-2.42% |
14.64% |
|
被调查产品市场份额 |
57.73% |
49.59% |
46.02% |
44.80% |
|
变化幅度(百分点) |
- |
-8.14 |
-3.57 |
-1.22 |
|
被调查产品进口CIF加权平均价格(美元/吨) |
2500.97 |
1973.45 |
2004.97 |
2117.96 |
|
变化率 |
- |
-21.09% |
1.60% |
5.64% |
|
产能(万吨) |
15-20 |
15-20 |
15-20 |
15-20 |
|
变化率 |
- |
- |
- |
- |
|
产量(万吨) |
5-5.5 |
6-6.5 |
9.5-10 |
9.5-10 |
|
变化率 |
- |
5-10% |
65-70% |
1-5% |
|
开工率 |
30-35% |
35-40% |
60-65% |
60-65% |
|
变化幅度(百分点) |
- |
1-5 |
20-25 |
(-5)-(-1) |
|
国内销量(万吨) |
4.5-5 |
6.5-7 |
9-10 |
10-15 |
|
变化率 |
- |
45-50% |
35-40% |
10-15% |
|
市场份额 |
15-20% |
20-25% |
25-30% |
20-25% |
|
变化幅度(百分点) |
- |
1-5 |
5-10 |
1-5 |
|
国内销售收入 (亿元) |
5-10 |
5-10 |
10-15 |
10-15 |
|
变化率 |
- |
10-50% |
10-50% |
10-50% |
|
内销加权平均价格(万元/吨) |
1-1.5 |
1-1.5 |
1-1.5 |
1-1.5 |
|
变化率 |
- |
(-10%)-(-5%) |
5-10% |
10-15% |
|
税前利润 |
(-4)-(-3) |
(-5)-(-4) |
(-4)-(-3) |
(-3)-(-2) |
|
变化率 |
- |
亏损增加 |
亏损减少 |
亏损减少 |
|
投资收益率 |
(-15%)-(-10%) |
(-20%)-(-15%) |
(-15%)-(-10%) |
(-15%)-(-10%) |
|
变化率(百分点) |
- |
(-10)-(-5) |
1-5 |
1-5 |
|
现金流量净额 (亿元) |
(-10)-(-5) |
(-10)-(-5) |
(-10)-(-5) |
(-5)-(-1) |
|
变化率 |
- |
(-10%)-(-5%) |
(-10%)-(-5%) |
(-65%)-(-70%) |
|
期末库存(万吨) |
2-5 |
1-1.5 |
1.5-2 |
1-1.5 |
|
变化率 |
- |
(-40%)-(-35%) |
45-50% |
(-30%)-(-25%) |
|
就业人数(人) |
400-450 |
400-450 |
350-400 |
350-400 |
|
变化率 |
- |
(-5%)-(-1%) |
(-10%)-(-5%) |
(-10%)-(-5%) |
|
人均工资 (万元/年/人) |
10-15 |
10-15 |
10-15 |
10-15 |
|
变化率 |
- |
(-5%)-(-1%) |
10-15% |
10-15% |
|
劳动生产率 (吨/年/人) |
100-150 |
100-150 |
250-300 |
250-300 |
|
变化率 |
- |
10-15% |
80-85% |
1-5% |



